ewma模型

r语言中的时间序列分析模型arimaarchgarch模型分析股票价格附代码
图片尺寸640x586
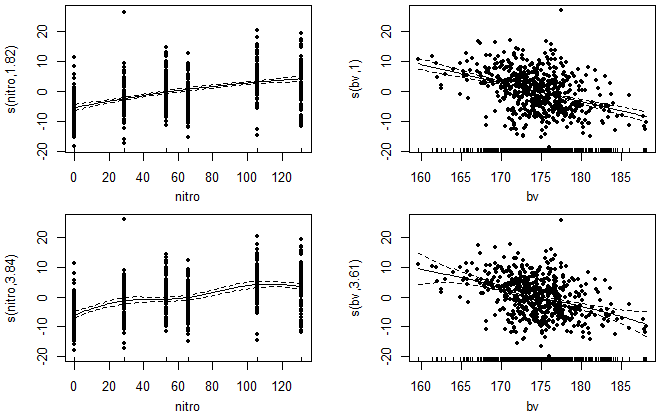
ewma模型r语言loop一般加性模型的简介应用举例及r语言操作
图片尺寸845x913
统计学与质量079spc控制图ewma和预控制图
图片尺寸1944x1215
cn/cardfs/product/g26/m02/d0/a9/autohomecar__chxkjmusq8oacewmadp
图片尺寸800x600
r语言garch族模型正态分布tged分布egarchtgarch的var分析股票指数
图片尺寸480x384
当地时间5月3日,第33届欧洲创面管理协会(ewma)大会在意大利米兰
图片尺寸650x650
ewma模型r语言loop一般加性模型的简介应用举例及r语言操作
图片尺寸658x416
r语言中的时间序列分析模型arimaarchgarch模型分析股票价格附代码
图片尺寸931x392
r语言中的时间序列分析模型arimaarchgarch模型分析股票价格附代码
图片尺寸687x620
指数加权移动平均法(ewma)
图片尺寸837x447
r语言garch族模型正态分布tged分布egarchtgarch的var分析股票指数
图片尺寸480x384
r语言garch族模型正态分布tged分布egarchtgarch的var分析股票指数
图片尺寸480x384
excel制作的ewma控制图带自动报警功能绝对原创
图片尺寸592x429
董思成#
图片尺寸690x1035
r语言中的时间序列分析模型arimaarchgarch模型分析股票价格附代码
图片尺寸931x398
r语言garch族模型正态分布tged分布egarchtgarch的var分析股票指数
图片尺寸916x522
mit半导体制造rbr(run by run)控制 的ewma 控制图
图片尺寸551x365
ewma模型r语言loop一般加性模型的简介应用举例及r语言操作
图片尺寸666x528
crackqcspcchartspccontrolcharttoolsfornet
图片尺寸947x628
率计算投资组合风险价值var与期望损失|附代码数据_copula_变量_模型
图片尺寸355x117