excel箱线图

excel数据分析常用图表上
图片尺寸1078x678
数据分析之异常值分析-箱线图
图片尺寸1603x797
箱线图在异常值检测中的使用 由箱线图可以看出,除3班,8班,7班,10班外
图片尺寸1820x1280
2013excel如何画箱线图
图片尺寸1025x499
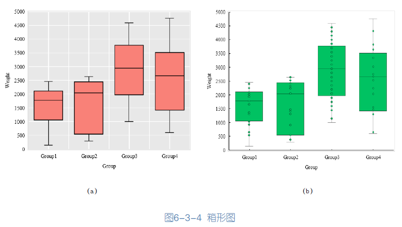
3-6:4 组的箱线图显示了组间的显著差异
图片尺寸1000x1005
经验分享利用excel制作箱形图和折线图
图片尺寸2000x1233
箱线图怎么判断异常值什么箱线图它能在什么场景下进行数据分析
图片尺寸720x540
2013excel 如何画箱线图? - 知乎
图片尺寸889x443
2013excel 如何画箱线图?
图片尺寸798x451
excel2010画箱线图boxplot
图片尺寸654x470
6种配色箱线图统计分析代做请私信
图片尺寸718x599
六,用excel绘制箱线图
图片尺寸923x414
《对比excel,轻松学习python数据分析》笔记
图片尺寸678x656
分组箱线图保姆级教程
图片尺寸1071x847
excel分组箱线图
图片尺寸610x392
excel2010画箱线图boxplot
图片尺寸471x278
绘制箱线图的两个r包
图片尺寸1873x652
统计学箱线图
图片尺寸723x355
绘制箱线图的两个r包
图片尺寸1902x679
12 利用箱形图展示多项统计值
图片尺寸1270x586