fludrocortisone

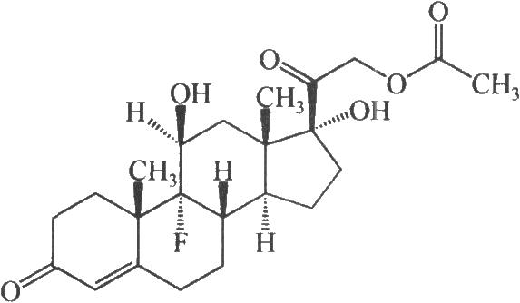
3.2结构式fludrocortisone acetate3.1.
图片尺寸573x334
1 药剂名:floricot通用名: fludrocortisone 氟氢可的松制药商:s
图片尺寸560x561
fludrocortisone acetate 醋酸氟氢可的松 514-36-3 kl-m56521 - 康朗
图片尺寸331x331
fludrocortisone
图片尺寸500x500
astoninhfludrocortisone氟氢可的松
图片尺寸560x560
1)货号:f0180000 2)品牌:ep 3)英文品名:fludrocortisoneacetate 4)
图片尺寸360x640
hr122693 - 氟氢可的松_127-31-1 fludrocortisone cas 127-31-1 mdl
图片尺寸484x300
卫生 29肾上腺皮质激素类药物ppt 氢化可的松 短 (bydrocortisone) 效
图片尺寸1080x810
fludrocortisone
图片尺寸300x300
醋酸氟氢可的松,fludrocortisone acetate
图片尺寸476x392
fludrocortisone
图片尺寸500x310
florinef (fludrocortisone) for chronic fatigue syndrome (me/cfs)
图片尺寸300x192
醋酸酯 氟氢可的松醋酸酯 醋酸氟氢可的松英文名:fludrocortisone
图片尺寸392x258
hydrocortisone plus fludrocortisone for adults with septic shock
图片尺寸700x524
furosemide/fludrocortisone test and clinical parameters to
图片尺寸1017x1280
fludrocortisoneacetate
图片尺寸300x300
127-31-1 氟氢可的松 fludrocortisone - cas数据库
图片尺寸153x102
hydrocortisone plus fludrocortisone for adults with septic shock
图片尺寸700x524
fludrocortisone acetate
图片尺寸363x225
(clodronate); (cyclophospham ide)
图片尺寸869x875