fraction

p data-id="go03v8wmdn">连分数(continued fraction)是特殊 a
图片尺寸368x281
14-6 maclaurin series of sin(x) _ series _ ap calculus.
图片尺寸640x360
p data-id="gnxbj1r865">部分分式分解(partial fraction
图片尺寸659x465
数字化westernblot蛋白质印迹定量分析技术
图片尺寸720x529
哈医大曲国蕃崔亚利马腾闯等利用金属有机框架抑制pi
图片尺寸1080x1412
incoloy825合金中al,ti反响性
图片尺寸1080x1440
对话苹果硬件工程副总裁 ,采访数十人,我们找到了 m
图片尺寸1080x1454
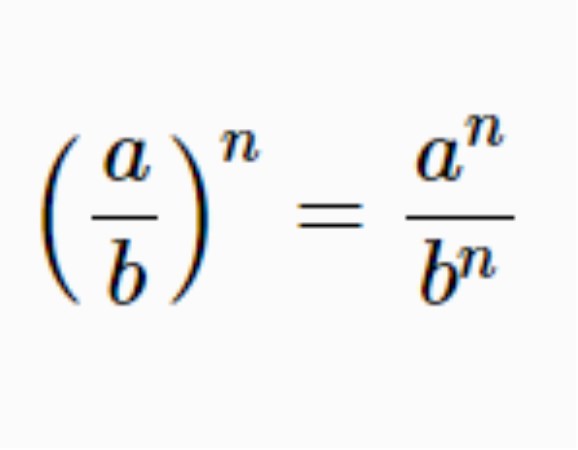
p>分式乘方法则(rule of power of a fraction)是 a target="_blank"
图片尺寸578x450
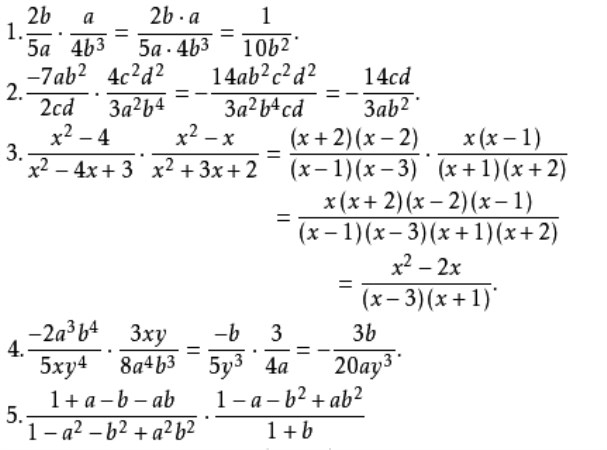
p>分式乘法法则(rule of a fraction multiplication)是 a target="
图片尺寸607x450
p data-id="go03v8wmdn">连分数(continued fraction)是特殊 a
图片尺寸908x572
p>吸入氧比例(fraction of inspiratory oxygen)是1997年公布的医学
图片尺寸1298x865
p data-id="go03v8wmdn">连分数(continued fraction)是特殊 a
图片尺寸287x149
p>连分式近似(continued fraction approximation)是大规模系统的一
图片尺寸469x493
p>散射分数(scatter fraction)是2018年公布的核医学名词. /p>
图片尺寸1302x867
language tips 考试培训1.a fraction of 一小部分; 2.
图片尺寸599x390
restaurant offers pizza cake br>披萨蛋糕吃货热捧(图)
图片尺寸560x415
wdseds是如何做到准确定量的经典文献解读
图片尺寸453x380
p>连分式近似(continued fraction approximation)是大规模系统的一
图片尺寸357x278
p>连分式近似(continued fraction approximation)是大规模系统的一
图片尺寸323x243
材料预测和设计无需编程的ai平台
图片尺寸926x790