gamma hydroxybutyrate

gamma-hydroxybutyrate compositions containing carbohydrate
图片尺寸2051x2080
gamma-hydroxybutyrate compositions containing carbohydrate
图片尺寸1890x2738
gamma-hydroxybutyrate calcium salt
图片尺寸363x225
gamma-hydroxybutyrate compositions containing carbohydrate
图片尺寸581x207
预订 gamma-hydroxybutyrate
图片尺寸297x425
【预订】gamma hydroxybutyrate: a medical dictionary
图片尺寸500x500
gamma hydroxybutyrate: a medical dictionary, bibliography, and
图片尺寸300x400
乙酯(化工中间体)3-羟基丁酸乙酯,英文名为ethyl3-hydroxybutyrate
图片尺寸500x500
【预订】gamma-hydroxybutyrate: pharmacological and
图片尺寸500x500
β羟丁酸 (β-hydroxybutyrate):后文简称「bhb」,严格意义上不是一种
图片尺寸900x500
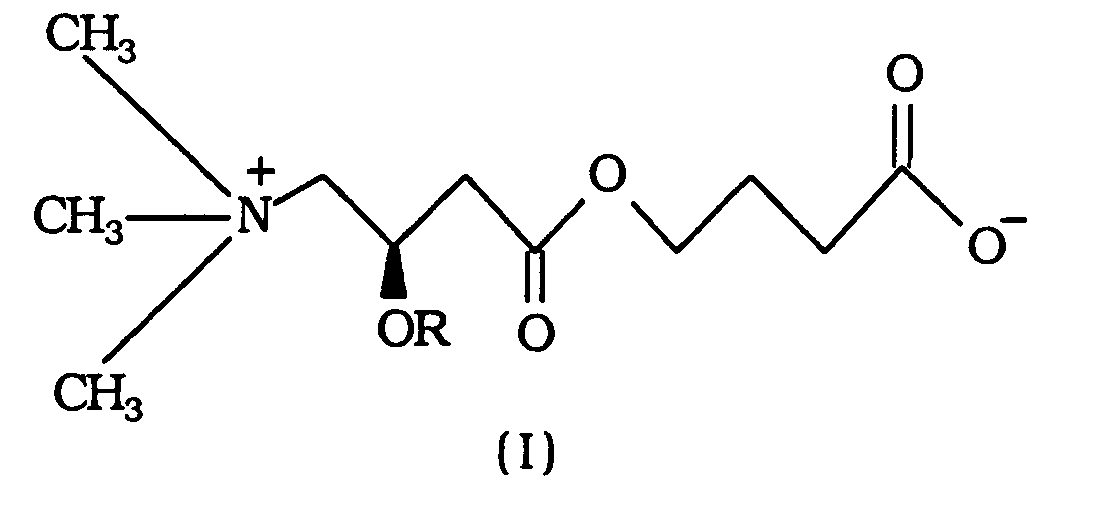
use of acyl l-carnitine gamma-hydroxybutyrate for the treatment
图片尺寸1120x508
use of acyl l-carnitine gamma-hydroxybutyrate for the
图片尺寸1600x632
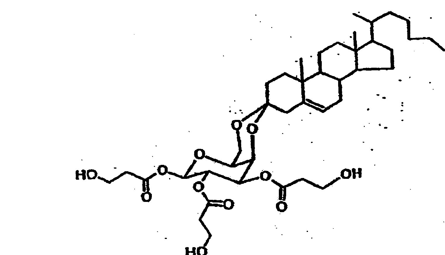
gamma-hydroxybutyrate compositions containing carbohydrate
图片尺寸1524x874
controlled release compositions of gamma-hydroxybutyrate
图片尺寸2016x1448
什么是酮
图片尺寸1080x1282
兽医经典图谱异染颗粒
图片尺寸500x354
(r,s)-(±)-(-)-4-氯-3-羟基丁酸乙酯
图片尺寸327x281
3-羟基丁酸钠 98% 思普生化
图片尺寸400x400
use of acyl l-carnitine gamma-hydroxybutyrate for the treatment
图片尺寸1952x1040
converts acetoacetate to 3-hydroxybutyrate?
图片尺寸500x368