geoderma

《geoderma》带你真正了解植物凋落物分解和固碳的奥秘
图片尺寸2012x1459
麦田土壤呼吸丨geoderma:土壤呼吸对氮肥的响应:来自6年田间定位实验
图片尺寸1080x711
geoderma:放牧通过改变土壤温度和硝态氮含量增加高山草地n2o排放
图片尺寸640x1051
geoderma:放牧通过改变土壤温度和硝态氮含量增加高山草地n2o排放
图片尺寸640x1065
我院土肥与资环所在国际农林科学和土壤科学top期刊geoderma发表科研
图片尺寸1200x579
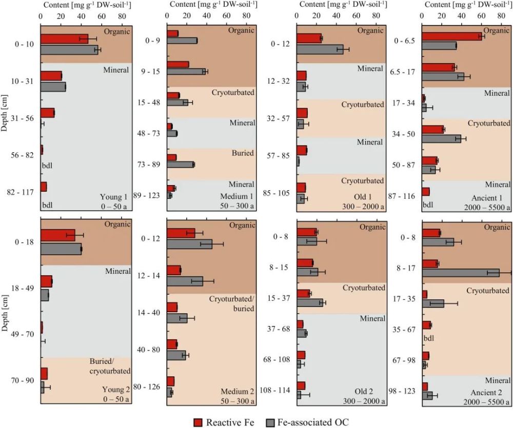
冻融扰动影响冻土中铁有机碳复合体geoderma
图片尺寸972x1000
冻融扰动影响冻土中铁有机碳复合体geoderma
图片尺寸660x1000
冻融扰动影响冻土中铁有机碳复合体geoderma
图片尺寸1000x835
geoderma
图片尺寸623x639
冻融扰动影响冻土中铁有机碳复合体geoderma
图片尺寸1000x411
geoderma:新疆生地所在全球温升情景下中亚土壤保持研究中取得新进展
图片尺寸554x388
冻融扰动影响冻土中铁有机碳复合体geoderma
图片尺寸1000x592
geoderma | 施用生物炭可提升土壤保水能力
图片尺寸880x528
geoderma碳输入通过激发效应和影响土壤有机碳物理保护等过程进而改变
图片尺寸700x700
geoderma生物结皮专刊正式上线
图片尺寸3264x2448
geoderma陈文新院士课题组研究发现超量施氮恶化了东北地区玉米单作
图片尺寸554x360
孢鱼菌科(sporichthyaceae)地嗜皮菌科(geodermatophilaceae)弗兰克氏
图片尺寸800x599
我院陈春梅副教授应邀担任期刊geoderma和soilsciencesocietyof
图片尺寸717x262
基于高光谱成像技术的稻田土壤剖面碳组分的高分辨率制图研究
图片尺寸750x709
林学院博士研究生白云星在geoderma期刊发表高水平论文
图片尺寸1071x554