glycolether

high quality triethylene glycol methyl ether 112-27-6 with best
图片尺寸540x960
图片 四乙二醇二甲醚,tetraethylene glycol dimethyl ether;≥99%
图片尺寸415x193
analysis of pure ethylene glycol ether ar ethylene glycol ether
图片尺寸750x690
acetatepropylene glycol monomethyl ether acetate产品介绍化学性质
图片尺寸881x1100
25190-06-1|聚四氢呋喃|polytetramethylene ether glycol|-范德生物
图片尺寸500x500
2-phenoxyethanol glycol ether used as used as a fixative for
图片尺寸600x450
1-butyl-2,3-dimethylimidazolium diethyleneglycolmonomethylethr
图片尺寸317x226
20324-33-8|三丙二醇单甲醚|tripropyleneglycolmonomethylether|-范
图片尺寸300x300
poly glycol ether
图片尺寸640x600
novel microbiocides
图片尺寸1971x2743
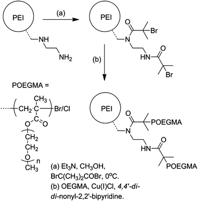
poly(ethylene glycol) methyl ether methacrylate
图片尺寸672x446
big factory supply high quality diethylene glycol diethyl ether
图片尺寸720x720
use of di-styrylphenyl-triglycolether for inhibiting
图片尺寸1172x528
allyl methoxy triethylene glycol ether
图片尺寸363x225
the polymerisation of oligo(ethylene glycol methyl ether)
图片尺寸392x397
ethyleneglycolbis2aminoethylether
图片尺寸440x440
二乙二醇甲醚
图片尺寸1280x960
mono ethylene glycol fiber grade with cas no. 107-21-1
图片尺寸544x960
diethyl ether of triethylene glycol
图片尺寸2320x3408
racing brake fluid - glycol ether based - bulk / wholesale
图片尺寸352x352