gotobed简笔画

四年级下册英语第二单元思维导图 丫头做思维导图越来越顺手了
图片尺寸1896x1280
unit2whattimeisitpartbletslearn课件共14张ppt
图片尺寸860x645
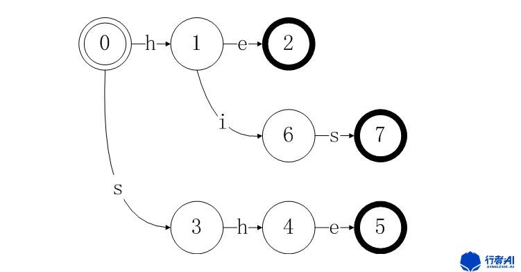
(1)构造goto表
图片尺寸751x392
海盗船长
图片尺寸800x1103
crocodile coloring page for kids
图片尺寸600x309
mantle
图片尺寸2808x3244
goto -堍
图片尺寸1680x2006
bumble bee cute bee clip art love bees cartoon
图片尺寸442x428
25 free printable bubble guppies coloring pages
图片尺寸857x1200
图片信息
图片尺寸670x670
上传,收益归属内容提供方,若内容存在侵权,请进行举报或认领文档简介
图片尺寸1240x1753
schoolbag study isolated icon - 素材 - canva可画
图片尺寸468x550
cereal bowl coloring page coloring
图片尺寸650x440
tadpole clipart black and white
图片尺寸595x841
print coloring page outline of an airliner above clouds
图片尺寸1870x2140
crayons简笔画
图片尺寸468x605
blouse简笔画步骤
图片尺寸500x500
一二年级可以学的英语语法
图片尺寸1080x1528
bed red clip art at vector clip art clipartbold 2
图片尺寸900x710
cartoon bed vector clip art
图片尺寸1057x854