kden机场

邀您共赴nab2024共同探索行业新标准
图片尺寸425x307
模拟飞行 最高画质落地kden美国丹佛国际机场
图片尺寸1728x1080
国际机场(denver international airport)(en)(iata:den,icao:kden)
图片尺寸775x581
p3dvatsim美国连飞flightbeam丹佛机场体验kden
图片尺寸1728x1080
xplane11hd4k电影风格画风落地kden美国丹佛国际机场
图片尺寸1606x1004![[atc]来到机场布局奇特的kden管制](https://imgs.wantubizhi.com/img/A1A61BAA66193547F3A6DD7D8EE527E998179D264AA5BBE7B9DAC99804460DCA9D9D5D0D74244B3B3E8794A3DE73958D4EC815F589ED19DB568ABE21558076B10A2AD7F7DDE7A3CF154DE747CC3BF9FE98127789AD2B8B2299B15CA0F15A88F5)
[atc]来到机场布局奇特的kden管制
图片尺寸964x602
fsximaginesim美国丹佛国际机场denverintlkden
图片尺寸1013x584
分标准杯,加大杯和加加大杯三个版本,每大一个size就多5个机场和机型
图片尺寸1002x564
照片5作者:xiamen air 849 heavy拍摄地点:纽瓦克国际机场 - kewr拍摄
图片尺寸640x360
照片7作者:jet92拍摄地点:美国 丹佛国际机场 - kden拍摄日期:2021年0
图片尺寸640x427
2021年08月16日照片7作者:jet92拍摄地点:美国 丹佛国际机场 - kden
图片尺寸640x427
邀您共赴nab2024共同探索行业新标准
图片尺寸660x567
n515:货号其他100%:材质成分夏季:适用季节m l xl 2xl:尺码黑色 米灰
图片尺寸900x1200
邀您共赴nab2024共同探索行业新标准
图片尺寸660x352
江门zrv致在年初降价狂欢特价1299万今日钜惠
图片尺寸800x600
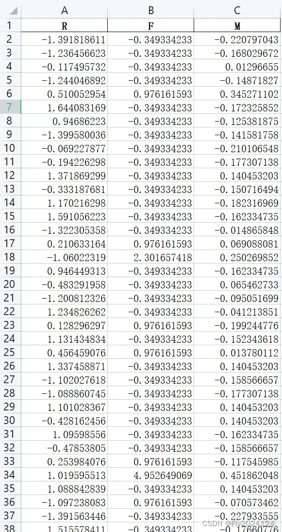
时序预测lstmarimaholtwinterssarima模型的分析与比较
图片尺寸1080x825
淘宝电商数据客户价值分析-csdn博客
图片尺寸581x1094
公司用了 5 年的单点登录系统解决方案,稳的一批!-csdn博客
图片尺寸790x264
淘宝电商数据客户价值分析-csdn博客
图片尺寸839x1081
西安格瑞维亚特价出售最新报价2858万仅此一次
图片尺寸800x600