leakyrelu

leaky relu 的导数图形如下
图片尺寸640x480
leaky relu函数
图片尺寸315x230
leaky relu
图片尺寸615x463
leakyrelu
图片尺寸916x796
leaky relu
图片尺寸1208x408
leaky relu
图片尺寸762x538
leaky relu 导函数图形
图片尺寸547x426
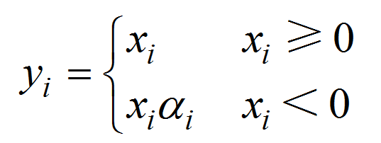
leaky relu激活函数为
图片尺寸537x202
leaky_relu 实现 leakyrelu 函数tanhtanh 函数能够将 x ∈ r 的输入
图片尺寸390x293
11-2 leaky relu:很像 relu,但在负区间有小斜率
图片尺寸1440x926
leaky relu激活函数 - csdn
图片尺寸1212x757
leakyrelu
图片尺寸372x254
激活函数reluleakyreluprelu和rrelu
图片尺寸740x231
leaky_relu
图片尺寸368x262
3.7 leaky-relu,p-relu,r-relu
图片尺寸668x237
4.leaky relu 渗漏整流线性单元
图片尺寸1080x454
2.relu变形体: leaky relu和 parametric relu函数
图片尺寸752x389
leaky relu函数640?wx_fmt=pngrelu函数640?wx_fmt=pngtanh函数640?
图片尺寸507x319
leaky relu
图片尺寸1058x680
论文复现reluleakyreluprelurrelu实验对比2015
图片尺寸1302x691