logicality

logistic回归 - 知乎
图片尺寸426x302
鉯h -壥迋番*
图片尺寸2100x1500
时间复杂度o(1),o(logn) ,o(n),o(nlogn).
图片尺寸547x395
视觉设计中的相似性原理
图片尺寸1100x818
孙宇晨又要搞事情?波场确认与百度达成合作,细节未透露
图片尺寸678x381
pyramid
图片尺寸600x443
黎曼猜想被证明教师怎样跟中学生聊前言数学问题
图片尺寸1080x674
7,logistic回归
图片尺寸1240x906
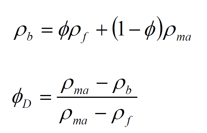
密度测井
图片尺寸723x465
continuous probability distributions( 连续型概率分布
图片尺寸680x510
logistic回归的算法原理
图片尺寸1204x838
zhux2.com/editor1506673103858594.jpg
图片尺寸958x1000
5logistic回归模型
图片尺寸1448x1244
sklearn逻辑回归小练习
图片尺寸480x409
logistic回归
图片尺寸1126x890
预订 dialogicality in development
图片尺寸252x400
机器学习——逻辑回归(logistic regression)
图片尺寸457x327
other solutions
图片尺寸1506x878
复杂度分析(上):如何分析,统计算法的执行效率和资源消耗
图片尺寸1142x640
逻辑斯蒂回归logisticregression
图片尺寸1182x760