matlab画分段函数图像

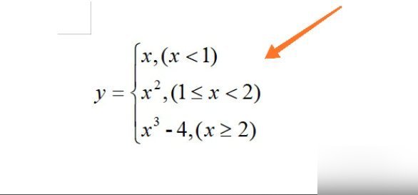
请问用matlab画分段函数图像,这样为什么不对?
图片尺寸659x357
matlab如何画该分段函数图
图片尺寸476x359
matlab分段函数绘图及latex字符标签pdf3页
图片尺寸1064x864
求救matlab写分段函数
图片尺寸839x463
怎么定义一个分段函数 在matlab中
图片尺寸586x273
这个分段函数图像怎么画,matlab, maple图像
图片尺寸450x321
matlab如何画分段函数的图像
图片尺寸375x248
matlab分段函数m文件matlab用命令文件编分段函数
图片尺寸561x420
matlab | solve函数求解析解时不支持分段函数的解决方案_无法从
图片尺寸724x577
matlab 时域自定义分段函数求laplace变换问题
图片尺寸453x462
如何处理matlab中绘制分段函数时x不等于0的区间
图片尺寸591x293
matlab如何画分段函数的图像
图片尺寸500x320
matlab分段函数的表达有那些相见恨晚的matlab绘图命令
图片尺寸360x270
matlab图像增强分段线性函数分段插值法原理及python实现
图片尺寸1328x579
matlab或simulink中怎么实现将分段函数跳跃间断点处的跳跃间隔缩小为
图片尺寸1374x736
matlabgamma函数分数阶微积分和分数阶微分方程数值实验3beta函数
图片尺寸508x411
分段函数matlab作图.doc
图片尺寸993x1404
分段函数专题练习答案ppt
图片尺寸1080x810
matlab学习笔记(4.5)三维曲面
图片尺寸805x806
(x^2)/16 (y^2)/25=z怎么用matlab求解
图片尺寸450x337