matlab画柱状图

matlab绘图教程第10弹堆叠柱状图
图片尺寸1080x922
matlab怎么画以斜线填充的黑白柱状图? - 知乎
图片尺寸504x299
matlab论文插图绘制模板第11期柱状图单组多色
图片尺寸945x1113
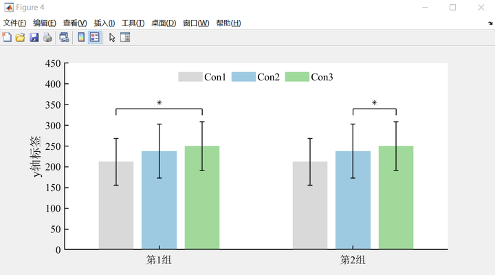
matlab绘制柱状图含显著性差异
图片尺寸1238x688
06.如何用matlab绘柱状图 双y轴柱线图(附程序链接 自定义sci配色)
图片尺寸1637x1023
matlab画渐变色三维柱状图_海洋与大气科学的博客-csdn博客
图片尺寸2959x2245
使用matlab绘制带误差棒的簇形多组柱状图
图片尺寸641x477
matlab科研散点密度双柱状图-阿里云
图片尺寸2008x1417
matlab科研绘图第8弹进阶柱状图
图片尺寸1080x1440
matlab三维柱状图
图片尺寸4724x3150
用matlab画柱状图
图片尺寸963x771
matlab论文插图绘制模板第14期三维柱状图渐变
图片尺寸7381x5500
matlab论文插图绘制模板第28期带误差棒的柱状图
图片尺寸1417x1063
matlab绘制堆叠形柱状图
图片尺寸560x420
matlab柱状图画法详细
图片尺寸547x430
附matlab代码)柱状图创建/位置/颜色/图例_matlab画柱状图-csdn博客
图片尺寸700x525
matlab柱状图指令hist详解
图片尺寸554x415
matlab画三维柱状图渐变色时候去不掉黑色的线怎么办
图片尺寸875x656
matlab绘制双坐标轴柱状/条形图_matlab双柱状图-csdn博客
图片尺寸504x380
matlab论文插图绘制模板第13期三维柱状图高度赋色
图片尺寸576x513