merton模型

6 merton模型实例国际金融学.pdf
图片尺寸864x486
万代shf 梅特龙星人测评
图片尺寸666x1000
( robert merton)在对欧式股票期权定价研究方面取得了重大的理论突破
图片尺寸808x316
万代shf 梅特龙星人测评
图片尺寸1000x1500
从农产品最低收购价到看跌看涨期权平价关系以及kmv中的merton模型
图片尺寸1392x932
【转评】shf 梅特龙星人
图片尺寸320x479
米勒-奥尔模型
图片尺寸489x272
万代shf 梅特龙星人测评
图片尺寸1000x666
米勒-奥尔模型
图片尺寸193x101
正版万代(bandai)奥特曼怪兽软胶500系列 14cm模型玩具 关节可动 68
图片尺寸400x400
万代shf 梅特龙星人测评
图片尺寸666x1000
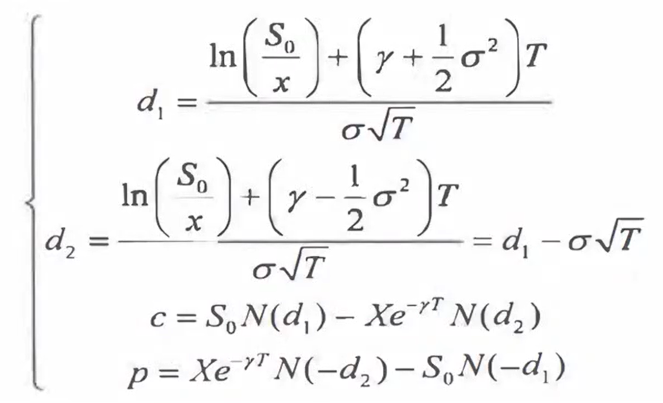
期权定价blackscholes模型
图片尺寸1080x1439
h.figuarts 梅特龙星人-模型玩具-蒜肠网
图片尺寸500x699
莫顿模型(merton model)(merton (1974, jf): on the pricing of
图片尺寸477x319
robertkmerton
图片尺寸270x410
万代shf 梅特龙星人测评
图片尺寸1000x1000
柯尼塞格on1汽车模型
图片尺寸1080x1439
option price and sensitivities by merton76 model using fft and
图片尺寸560x420
是把孩子熬出头了frm level i 第四部分估值与风险模型分为以下topics
图片尺寸1080x566
bsm(black-scholes-merton)模型假设标的股票在到期日前不支付任何
图片尺寸1351x821