mitomycin

迈维宁(注射用盐酸美法仑)可能引起什么副作用(不良反应)?
图片尺寸400x266
comvita 康维他 麦卢卡蜂蜜 umf5 500克
图片尺寸643x750
蜜纽康mgo30 麦卢卡蜂蜜250g
图片尺寸759x759
肾上腺癌唯一的克星---米托坦(mitotane)
图片尺寸1440x1080
阿奇霉素干混悬剂
图片尺寸600x450
mitomycins syntheses: a recent update
图片尺寸780x389
北京厂家丝裂霉素c价格mitomycin c最新价格
图片尺寸601x400
strong> strong> strong>mitomycin c /strong> /strong> /strong>.
图片尺寸500x500
中文名 albomitomycin c(订货以英文名称为准)
图片尺寸300x300
美国卫生院提醒这份otc非处方药清单需家中常备
图片尺寸1080x619
丝裂霉素 c,mitomycin c
图片尺寸424x381
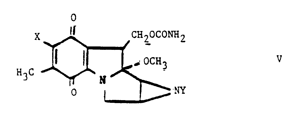
专利wo1989005811a1 - new 6-substituted mitomycin analogs
图片尺寸1412x611
mitomycin phosphate
图片尺寸300x300
进展nplate罗米司亭美国获批早期治疗免疫性血小板减少症itp
图片尺寸560x560
mitomycin c
图片尺寸300x642
mitomycind
图片尺寸314x270
6-substituted mitomycin analogs
图片尺寸1259x479
mitomycina
图片尺寸300x300
6-substituted mitomycin analogs
图片尺寸1366x577
mitomycin b
图片尺寸363x225