nct2018壁纸

2018nctnct 127:d社画报"西装少年127"_高清图片大全-爱豆app
图片尺寸1600x1066
黄旭熙原本演艺活动十分活跃,先是2018年作为nct成员出道,2019年1月
图片尺寸2000x2997
【ai cover】文泰一&中本悠太&董思成 - yellow(原唱:神山羊)
图片尺寸1296x811
最近,sm在华的活动大多为团队成员个人行程,类似nct的中国成员在华
图片尺寸660x495
nct 2018 empathy〈go〉nct dream-jaemin
图片尺寸658x823
六年前的今天(180314), nct2018 带来《black on black》的现场舞台
图片尺寸1198x666
在2018年黄旭熙以nct u组合出道后,加入了威神v,superm等组合活动.
图片尺寸712x765
nct2018empathy梦境与现实的共感
图片尺寸1000x1500
比韩国人更像韩国人10位日本人韩星nctyuta韩文能力都超强
图片尺寸484x643
lucas黄旭熙沉寂3年回归曾爆桃色丑闻吃软饭
图片尺寸621x741
nct2018存档
图片尺寸1080x1437
nct dream - 堆糖,美图壁纸兴趣社区
图片尺寸1000x1777
超大型企划"nct 2018"专辑14号开售 共13首歌曲
图片尺寸1680x1050
在那之后的3月,他作为nct的一部分,参与了《nct 2018 empathy》这张
图片尺寸500x750
特别关注|胆囊癌的诊断与治疗进展_因素_炎症_组织学
图片尺寸1080x712
nct - 堆糖,美图壁纸兴趣社区
图片尺寸1024x1363
nct dream - 堆糖,美图壁纸兴趣社区
图片尺寸1577x887
nct2018
图片尺寸1004x1338
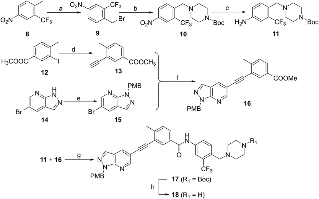
设计合成和生物学评估bcrablprotacs以克服t315i突变
图片尺寸1080x676
肿瘤免疫微环境的15个细胞因子
图片尺寸1080x644