nettoyante

eau nettoyante
图片尺寸600x409
英文名称:cetaphil lotion nettoyante所属品牌:丝塔芙所属类别:洁面
图片尺寸800x800
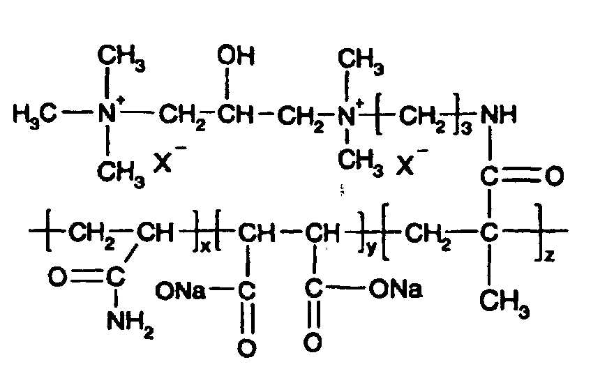
专利wo2000002593a2 - lotion nettoyante et traitante destinee au
图片尺寸1561x928
【法国直邮】艾芙美a-derma phys-ac eau micellaire nettoyante2
图片尺寸500x900
分享贴资生堂男士洗面奶01本土版国际版
图片尺寸1200x1599
podium #1 : mousse nettoyante
图片尺寸1000x665
痘痘肌的福音.
图片尺寸634x845
cerave/适乐肤氨基酸修护保湿泡沫洁面乳nettoyante
图片尺寸800x800
安娜雅克温和洁面泡沫 mousse nettoyante douceur
图片尺寸900x900
50% offert eau thermale avne,lotion nettoyante
图片尺寸458x458
saphir eponge nettoyante 莎菲雅绒面皮快速清洁擦
图片尺寸1920x1440
女士控油洗面奶哪种好?公认好用的3款女士洗面奶
图片尺寸1280x1706
( review ) leau moussante nettoyante clat de vichy
图片尺寸1024x678
资生堂男士三部曲护肤种草你拔吗
图片尺寸1344x1008
超长待机洗面奶6月买的现在才空瓶
图片尺寸1080x1440
p09te grise gelée nettoyante
图片尺寸470x470
娇兰兰花洁面
图片尺寸1080x1440
清洁,保湿,焕肤,保税仓直发!
图片尺寸760x760
composition nettoyante comprenant un polymere hydrosoluble ou
图片尺寸880x529
caudalie - mousse nettoyante fleur de vigne
图片尺寸640x640