nh2-的路易斯结构式

尿素结构式:尿素的分子式为co(nh2)2,分子量:60.055.
图片尺寸364x207
氨基磺酸|sulfamic acid|5329-14-6|greagent|≥99.5%|ar|500g
图片尺寸496x338
我含有氨基(nh2)和羟基(oh),分子结构和另一个家族的葡萄糖(c6h12o6)
图片尺寸1080x751
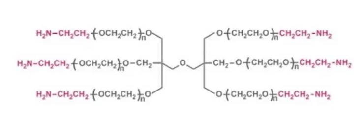
双端氨基聚乙二醇,nh2-peg-nh2
图片尺寸500x500
氨基乙酸铜(化学分子)氨基乙酸铜,分子式:c4h8cun2o4,分子量:211.
图片尺寸348x283![氧杂环腈可以由ω-卤代腈在t-buok作用下发生缩合反应得到(式5)[6].](https://imgs.wantubizhi.com/img/ADDA3C5D760C6828B77B505A29D43E83FEBD8F6BEA5C9B1CC5584356B825ACBB2BB25D5AEFD67337097586F3C46AA2037D9158F65381FDA183099B883A7E7B759EF8DAF6AC725A5E503F4580E51EF15860C2A20F8B542260E79BD25C159527F3)
氧杂环腈可以由ω-卤代腈在t-buok作用下发生缩合反应得到(式5)[6].
图片尺寸615x258
结构式:产品可定制:根据需要的试剂进行定制溶解性:溶于大部分有机
图片尺寸751x295
(氨基亚甲基)二膦酸结构式图片|29712-28-5结构式图片
图片尺寸605x375
结构式:分子量 :651.32分子式 :c17h25n3na2o17p2cas号 :108320-87-2
图片尺寸331x179
三,试剂结构式2.使用过程中务必保持产品干燥,避免阳光直射.1.
图片尺寸594x122
-nh2,8-臂聚乙二醇氨基,一种多臂聚乙二醇衍生物_azide_试剂_结构式
图片尺寸478x223
三,试剂结构式2.使用过程中务必保持产品干燥,避免阳光直射.1.
图片尺寸602x138
首页 详细 cas号 551-16-6 ccd编号 ccd00004964 分子式
图片尺寸484x300
6arm-peg-nh2结构式:分子量:10k,可按需定制)端基取代率:>>95【产品
图片尺寸425x250
结构式:产品可定制:根据需要的试剂进行定制溶解性:溶于大部分有机
图片尺寸647x272
结构式:品牌名称:西安凯新生物科技有限公司产品可定制:根据需要的
图片尺寸471x305![t-buok 能使烯烃和炔烃双键通过负离子中间体迁移 (式7)[8].](https://imgs.wantubizhi.com/img/ADDA3C5D760C6828B77B505A29D43E8347FB958BD22003AC297A5A1A32F0097EC6A3DC8B30B99822A22CDF69BCCB6805796A8F891E3FBB49D37D35AFC6008267F016EBD1DF44A60DC3C6C7507EDCE19C501CAE9024656BEA726C1F61E2E96DA6)
t-buok 能使烯烃和炔烃双键通过负离子中间体迁移 (式7)[8].
图片尺寸632x219
西安凯新生物科技ho-peg-x结构式四,相关试剂x-alpha-galcas号:107021
图片尺寸449x209
结构式(structural):品牌名称:西安凯新生物科技有限公司端基取代率:>
图片尺寸481x244
结构式/:/产品可定制/:根据需要的试剂进行定制,具体的可以线上和
图片尺寸740x248