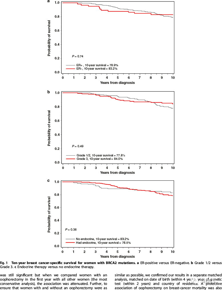
oophorectomy

远古生物探秘——皇冠西大虫 皇冠西大虫这个奇葩的名
图片尺寸1986x1280
黑化的卡通角色,小火龙是怪兽,海绵宝宝的眼神能杀人!
图片尺寸640x798
>千手佛
图片尺寸1023x682
realistic rendering of bacteria - in red colors
图片尺寸450x470
uncovering diversity in an invisible ocean world
图片尺寸962x807
wallpaper digital art, aliens, artwork, xenomorph
图片尺寸2560x1600
奇葩的东东,你们绝对没见过
图片尺寸580x386
bloop很可能是某种海洋动物发出的声音,因为它快速振动的频率特点类似
图片尺寸500x353
欧巴宾海蝎(opabinia)艺术图
图片尺寸500x375
frogspawn,frog,amphibian,jelly,tadpole,rana,pond
图片尺寸4608x3456
new fossil discoveries hoped to stir interest in
图片尺寸714x1000
ocmo下载
图片尺寸360x360
orbital photo series by bjrn ewers : inspiration
图片尺寸530x1080
microscopic illustration of fungi trichophyton rubrum
图片尺寸450x320
外国人,婴儿,xenomorph壁纸高清原图查看
图片尺寸1920x1080
lethal pneumonia outbreak caused by low chlorine in flint water
图片尺寸2000x1245
走近自然:令人瞠目的科学摄影
图片尺寸640x360
oophorectomy is associated with a reduced risk of death from
图片尺寸778x1016
any new research on alternative/adjunctive/wackadoo medicine?
图片尺寸900x600
研究证明:体外成熟卵作为辅助生殖治疗用卵源具备安全性
图片尺寸1269x701