origin图片

提高origin下载速度的有效方法
图片尺寸600x348
originpro2022单机专业版商业版
图片尺寸554x365
如何用origin导出做好的图片
图片尺寸1080x1115
如何直接在origin中排版图片
图片尺寸1080x829
ppt整理排版导出期刊要求的origin图
图片尺寸1080x928
个人笔记origin学习入门教程
图片尺寸2400x1080
origin绘图(12): 导出期刊要求高质量的图片
图片尺寸1080x888
绘图软件origin在哪里下载科学好帮手初识origin绘图软件
图片尺寸640x625
如何用origin完成图表排版
图片尺寸1080x737
origin 8.1 作图求助?
图片尺寸531x404
求助origin作图技巧
图片尺寸488x312
origin将多个文件数据导入
图片尺寸1010x828
如何在origin中实现区域填充颜色
图片尺寸1080x914
originpro9破解版下载originpro2021sr1数据分析软件v985免费版
图片尺寸600x543
origin添加两个y轴
图片尺寸1706x890
origin的基础实验数据处理
图片尺寸1942x935
使用origin进行非线性高斯拟合
图片尺寸1035x898
origin 9.0 教程(入门篇)
图片尺寸893x385
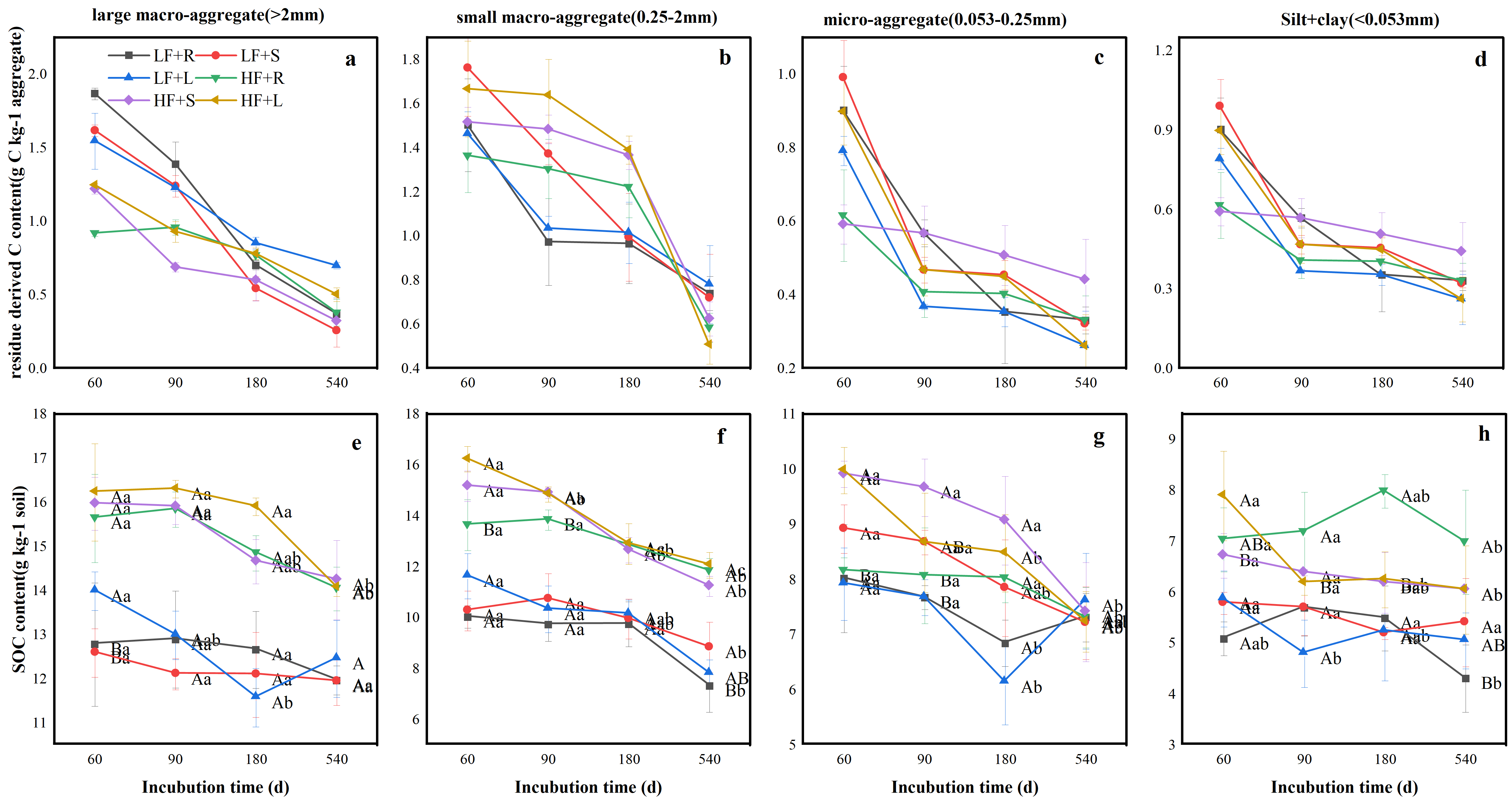
生化环材origin出图数据分析土壤有机碳含量及残渣衍生碳含量
图片尺寸5051x2679
origin图片输出不全
图片尺寸737x469