p苯二胺

苯基苯胺氨基二苯 n
图片尺寸686x430
ppd p-苯二胺
图片尺寸1000x1000
2,3-二甲基-p-苯二胺
图片尺寸300x300
n,n-二甲基-p-苯二胺硫酸盐_化妆品原料数据库_药智数据
图片尺寸500x500
中文名 n-乙基-p-苯二胺 二盐酸化物(订货以英文名称为准)
图片尺寸300x300
供应二苯胺二苯胺
图片尺寸750x750
4-三氟乙酰基-p-苯二胺
图片尺寸484x300
nn双2羟乙基p苯二胺硫酸盐
图片尺寸338x217
5306-96-7 2,3-dimethyl-p-phenylenediamine
图片尺寸400x400
sn/t 3153-2012 出口氧化型染发剂中n,n-双(2-羟乙基)-p-苯二胺,n,n
图片尺寸400x300
n-苯基-n -环己基-p-苯二胺 (cas no: 101-87-1)/抗氧化剂 4010
图片尺寸350x350
南箭牌 【双氰胺 涂料级 】厂家直销 优质化工原料 限时特价 包邮
图片尺寸750x583
查看物化属性ilcnpgfjcgfufs-uhfffaoysa-ncas no.
图片尺寸300x300
n,n-双(2-羟乙基)-p-苯二胺硫酸盐
图片尺寸484x300
你所在的位置:首页 > 产品展示 厂家直销批.对苯二胺.
图片尺寸600x493![[0040][0039] [化 11[0037] 具体地说,可以举出萘基苯二胺,p卜啉,金属](https://imgs.wantubizhi.com/img/735A5D1F980B52A636CC46F12F2D1A73023F1FB1AFA29E7F7389D92DE82A47053B0B4EEE9CA88DAF2A55D5BB7EA923AD30F01B8944D8AFBD41A36302E2388D48A797581061DCB0E05B2E2FEE85261BA15DEFC97F17886500647920036F16351C)
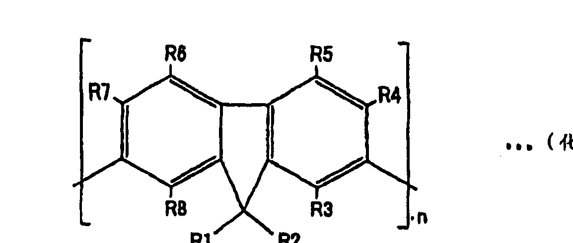
[0040][0039] [化 11[0037] 具体地说,可以举出萘基苯二胺,p卜啉,金属
图片尺寸1154x490
二苯胺
图片尺寸165x220
羟丙基双(n-羟乙基-p-苯二胺) hcl
图片尺寸393x397
黄体酮杂质2个类似产品查看更多现货>650030p100毫克电询>10电询货号
图片尺寸300x300
优质对苯二胺,白色片状/粉状对苯二胺/c6h8n2/ppd
图片尺寸1024x768