perspicuous

gre单词轻松记65是时候展现真正的技术了
图片尺寸1080x1437
7页好多啊
图片尺寸1080x1439
杀g路上那些绊脚的形近词2
图片尺寸1028x1028
plainness> perspicuousness> understand> clearness> clearabout> b
图片尺寸550x367
perspicuous964
图片尺寸1002x564
service green short-sleeve set cycling clothing perspicuousness
图片尺寸640x640
alp series perspicuousness thermal underwear set women sports
图片尺寸800x800
比莉lucile的相册-*
图片尺寸420x453
预订 perspicuous presentations: essays on wittgenste
图片尺寸243x400
perspicuousness quick-drying fabric pique cotton
图片尺寸640x552
perspicuous_sardonic_单曲在线试听_酷我音乐
图片尺寸500x500
coolmax breathable perspicuousness fiber knitted lp kneepad
图片尺寸1000x1000
11 color block decoration short-sleeve perspicuousness quick
图片尺寸500x500
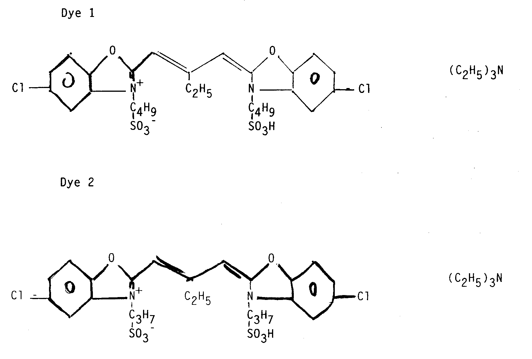
the advantages of the present invention are most perspicuous
图片尺寸1856x1252
hydroscopic perspicuousness breathable kneepad health care
图片尺寸310x310
descente fast drying clothing perspicuousness breathable t
图片尺寸750x750
dark brown sand coolmax perspicuousness clothing
图片尺寸382x316
ride service male breathable perspicuousness bicycle clothing
图片尺寸350x318
jersey patrick perspicuousness quick-drying breathable soccer
图片尺寸640x480
2014 blue ride clothing male short-sleeve perspicuousness
图片尺寸400x533