poly curve

curve
图片尺寸1146x829
stress-elongation curve of polyols
图片尺寸426x294
get minimum point(s) of numpy.poly1d curve
图片尺寸398x278
plot_learncurve_lambda(c=0) try: λ = 1 , λ = 100 lambda=1
图片尺寸428x319
demonstrated melting curve analysis in igh malignant lymphoma
图片尺寸785x418
problem with creating floor with polycurves
图片尺寸1920x1029
typical galvanostatic charge–discharge curve of poly-3 scanned
图片尺寸363x298
solved: how convert cube curve that is not close to poly or
图片尺寸1061x417
images/curvepolygon.png
图片尺寸285x229
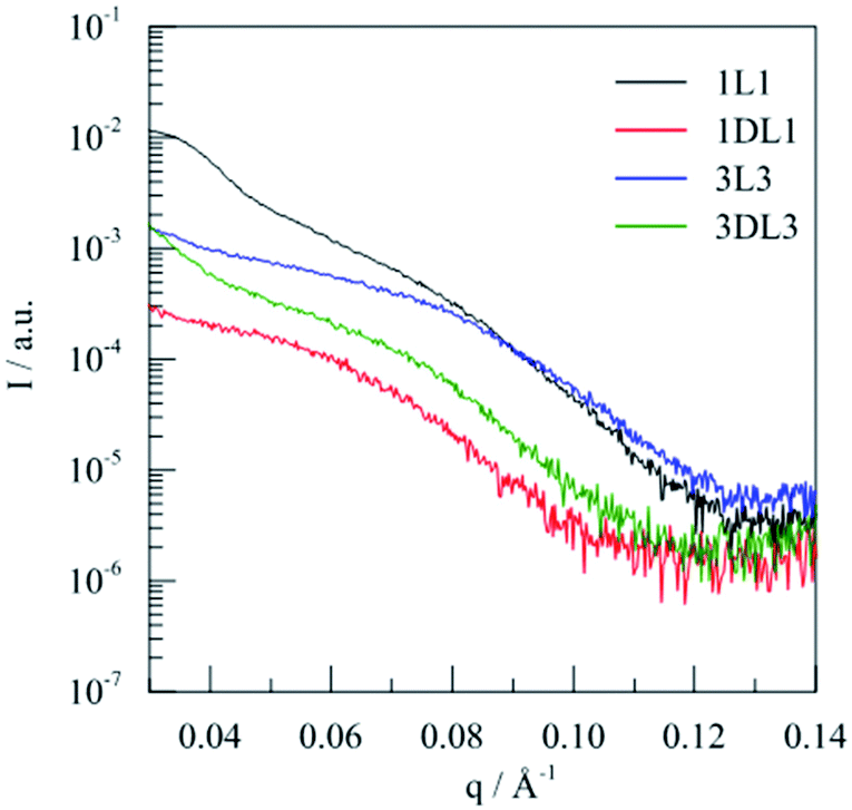
saxs curves of selected bcps in the melt (215 ラ.
图片尺寸765x727
distributiondiagramsofpolyproticacids
图片尺寸763x365
compared to the o 2-bhb equilibrium curve, the o 2-polybhb
图片尺寸800x667
saxs curve (red plot) for the supernatant obtained after the
图片尺寸978x593
3. power curve
图片尺寸572x483
matlab - create a x,y curve from an edge - 开发者知识库
图片尺寸560x420
validationcurve(x_poly, y
图片尺寸634x515
fixed,step,multistep,exp,poly
图片尺寸602x438
python曲线拟合numpypolyfitscipyoptimizecurvefit
图片尺寸640x476
imread(curve.png) hh, ww = img.
图片尺寸791x309
pythonscipyinterpolateapproximatetaylorpolynomial用法及代码示例
图片尺寸465x288