polymerfilm

椭偏仪
图片尺寸3129x1581
includes semiconductive polymer film which swells when exposed
图片尺寸1778x1789
polymerfilm zur oberflchenbeschichtung von faser-kunststoff
图片尺寸1854x2752
ethylene polymer film resins
图片尺寸2193x3673
spp-ps polymer film
图片尺寸400x400
知识星球地产重案
图片尺寸658x931
15mmx33m polyimide polymer film tape high temperature resist
图片尺寸640x640
polycyclic aromatic hydrocarbons are potent atmospheri
图片尺寸1024x768
granules polymer polyol for injection molding grade and film
图片尺寸300x300
marumi 偏振滤光镜 pl 胶片*
图片尺寸974x1500
v遺阀秇黍
图片尺寸1920x1080
protonenleitungspolymerfilm und verfahren zu seiner herstellung
图片尺寸1264x2105
electrically conducting polymer film and method of manufacturing
图片尺寸1822x2858
polyimide film factory price 6650 nhn polyimide film polymer
图片尺寸300x300
virgin, efficient random pp polymer film grade for plastic items
图片尺寸300x300
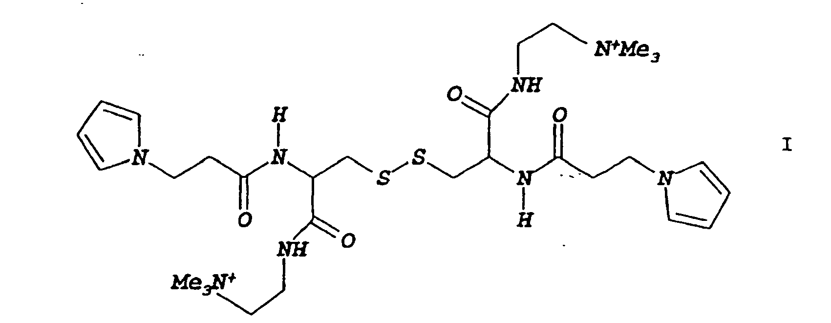
functional groups which can be provided in polymer layers of
图片尺寸1701x661
pixiv.net/member_illust.php?
图片尺寸1000x1000
图片尺寸1500x1500
bending, wrinkling, and folding of thin polymer film/elastomer
图片尺寸1102x1434
process for perforating polymer film and polymer film
图片尺寸1888x660