polyp

polyp
图片尺寸462x670
polyp
图片尺寸1366x868
pp塑料
图片尺寸3456x2304
polyp灯
图片尺寸800x1199
pp塑料 (聚丙烯) 英文名称:polypropylene 比重:0.9-0.
图片尺寸1000x750
pvc是不是塑料呢
图片尺寸640x571
pla聚乳酸
图片尺寸1920x1920
建筑师 英文原版 asterios polyp 大卫·马祖凯利 david mazzucchelli
图片尺寸800x800
orange cup coral polyp
图片尺寸500x356
polyp洗衣篮创意设计
图片尺寸600x598
普立万polyone第二代驻极母粒pp原料 过油性95级99级 添加量2-3%
图片尺寸600x643
epinephelus polyphekadion清水石斑鱼
图片尺寸640x438
cup coral polyp
图片尺寸700x525
medical grade pla/plga resin material with factory price
图片尺寸2000x2000
green star polyp coral
图片尺寸1024x685![colorectal polyp [平装]](https://imgs.wantubizhi.com/img/A1A61BAA66193547F3A6DD7D8EE527E9A21A23CBA4FA4E98BF8EFD7BF9A854BB011680163D6411025D9B89A947478A90FF23BC38C6CB7A957BC1B52788C6C77B4D9A6CD811D1D787686B7CD221C0F60746B8FD65C2EA799545A0F3D7355B4EB3)
colorectal polyp [平装]
图片尺寸300x300
可降解塑料聚乳酸pla挤出注塑pbat全降解填充料
图片尺寸750x750
科莱恩推出新型非邻苯二甲酸酯高性能聚丙烯催化剂
图片尺寸1920x1080
胃息肉图片
图片尺寸400x300
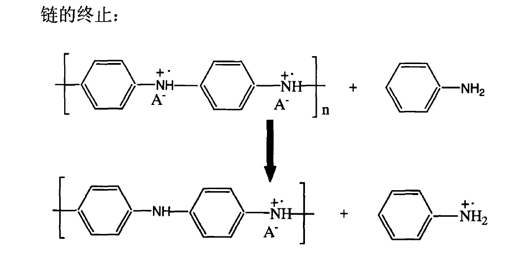
聚苯胺
图片尺寸1070x540