pyrometallurgy

贺利氏格鲁玛酸蚀剂(齿科酸蚀剂) 35%磷酸 2支 2.5ml/支
图片尺寸1058x719
氟吡菌酰胺
图片尺寸393x237
欧盟批准polivy组合用于先前未经治疗的弥漫性大b细胞淋巴瘤
图片尺寸1647x1033
氟吡菌酰胺
图片尺寸399x187
弓形虫p30乳酸球菌口服疫苗免疫效果研究及弓形虫rop2
图片尺寸3045x1710
pd-1抑制剂opdivo治疗黑色素瘤优于yervoy
图片尺寸3861x2574![远大医药抗肿瘤药物]nda获国家药监局受理;前列腺癌成](https://imgs.wantubizhi.com/img/735A5D1F980B52A636CC46F12F2D1A7357B8EC12418125205FA95D7F3CE5247DE8D1D01C69EBEDD4AB35795E46AC204A86837F321899D1EDCF794FF40DE05849D2843B440C831D796A70827914BDEB5936D131E2334AC5B1E94322629CFCD1EC)
远大医药抗肿瘤药物]nda获国家药监局受理;前列腺癌成
图片尺寸1280x720
吡氟菌胺
图片尺寸1525x801
好消息:意大利根治胃炎幽门螺杆菌新药pylera上市
图片尺寸600x600
吡啰红g派洛宁gy染色剂
图片尺寸1280x853
tar sand-derived oil creates air pollution signifi
图片尺寸1280x1016
新型抗生素头孢地尔fetroja扩展适应症获fda批准治疗医院内肺炎
图片尺寸720x486
枸橘苷
图片尺寸665x415
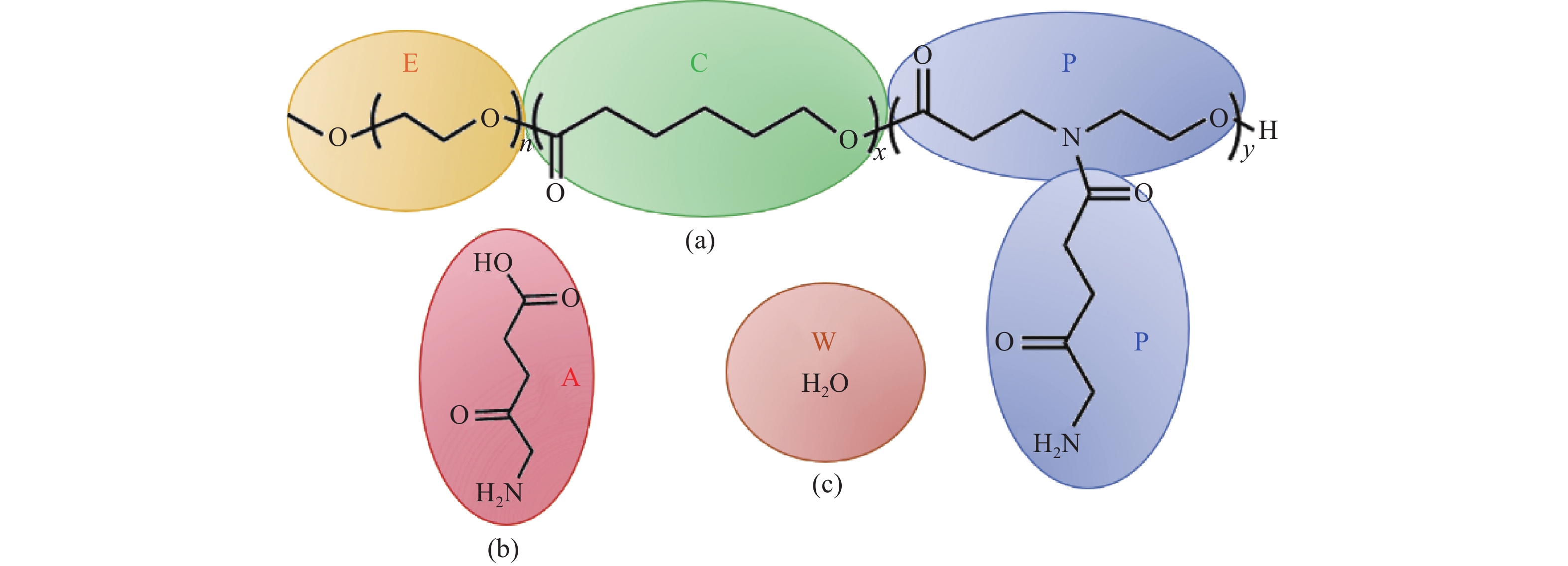
聚合物前药载药性能的计算机模拟
图片尺寸3150x1137
9 m 在四氢呋喃中, acroseal
图片尺寸1024x1024
分子结构式
图片尺寸395x277
泰地罗新
图片尺寸773x447
pyrometallurgy
图片尺寸423x336
lipid metabolism of phenol-tolerant rhodococcus opac
图片尺寸1595x1748
119345-05-0
图片尺寸484x300