r^2=a^2cos2θ

当θ=270°时,r=a(1 1)=2a, 水平方向:r=a(1-cosθ)或r=a(1 cosθ
图片尺寸491x388
求r=a与r=2acosθ所围成的公共面积
图片尺寸1136x543
直角坐标:x^2 y^2 ax=a√(x^2 y^2) 极坐标:ρ=a(1-cosφ) 1 /p> br
图片尺寸405x409
在极坐标系中的方程为: ρ(θ)=2r(1 /-cosθ)
图片尺寸410x310
了菌菌只好去请教几何大佬万般无奈之下为什么要这样做ρ=2a(2 cosθ)
图片尺寸405x235
求r=asin2θ的面积,求详细步骤
图片尺寸1350x434
r=a(1-sinθ)是心形函数
图片尺寸500x296
高中数学必修4三角函数常考题型:正弦函数,余弦函数的图像_word文档
图片尺寸532x125
577_204
图片尺寸577x204
求曲线r=√3a,r=2acosΘ所围成图形的公共部分面积
图片尺寸767x483
(11) (2) r=2cosθ及r2=3sin2θ.
图片尺寸890x875
23方陈式出自笛卡尔之手:r=a(1-sinθ)
图片尺寸398x332
考研数学常见的函数图像
图片尺寸360x360
函数y =cos x (x ∈r )的图象向右平移π2 个单位后,得到
图片尺寸544x216
π/2 2kπ π/2,2kπ 3π/2 递 增 递 减 奇函数 2π cos
图片尺寸508x508
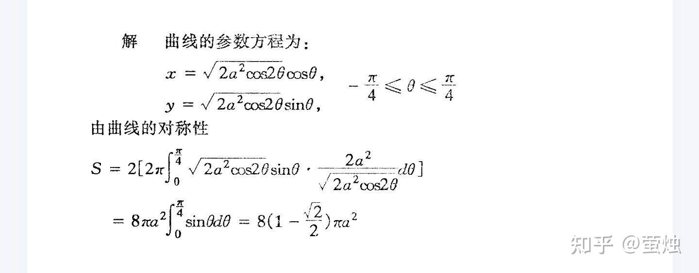
由极坐标给出的双纽线r^2=a^2cos2θ(a>0)所围成图形绕级轴旋转一周所
图片尺寸1440x564
滑杆a从1到10,步长为1;滑杆b从0到1,步长为0.
图片尺寸7689x3728
r3cosθ
图片尺寸670x565
0),b =(0,1),则 oq =(√2,√2), 曲线 c 上一点 p 满足 op =(cosθ
图片尺寸514x462
(1) r =a (1 cos θ)及r =2a cos θ; 解:由图11知
图片尺寸890x875