r文

dota2:r神长文感叹,国内战术不弱,组建银河战舰代价太大
图片尺寸587x572
在这之前,伪风吧的创始者们是在 a href="#" data-lemmaid="95221">
图片尺寸800x800
路虎揽胜行政老款改新款led矩阵像素大灯升级高配四眼
图片尺寸750x574
还有人说娃哈哈绿茶也用了r文的"花"字.
图片尺寸640x854
终于,这次我又为大家争取到了少量r系列名额,还是由思晨两位老师亲带
图片尺寸800x2143
不间断的接触windows平板电脑是r18游戏的神器
图片尺寸550x542
《吐槽大会5》李菲儿pk金莎意外上热搜,潜台词影射ba
图片尺寸562x697
西苏,福柯|向玛格丽特·杜拉斯致敬_记忆_图像_文本
图片尺寸1080x1441
文/{美}简·r·霍华德图/{美}琳内·彻丽译:林芳萍01
图片尺寸640x846
3月11日,车主张女士微博发布长文,详细描述事发经过,包括一份记录了
图片尺寸650x1196
斯蒂文森短篇小说选词条图册_百度百科
图片尺寸312x426
dmen现货毛茸茸糖果屋名侦探学院同r文cp南北纬钧同r本小说
图片尺寸960x960
我怎么可能成为你的恋人不行不行第4卷封面公开
图片尺寸640x914
筋膜枪有效果吗三大黑幕骗局务必知晓
图片尺寸865x1278
极氪推os606ota新增r挡自动驻车
图片尺寸800x958
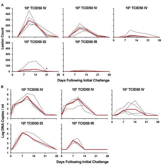
通过实时 pcr (rt-pcr) 在病毒感染后检测猴痘疫苗病毒基因 (f3)
图片尺寸553x555
游戏本市场太卷新款联想拯救者r9000p不香了一文带你了解
图片尺寸660x355
还有人说娃哈哈绿茶也用了r文的"花"字.
图片尺寸640x277
绅士实用上车指南日本r18漫画杂志故事题材统计
图片尺寸483x375
网易首页>网易号>正文申请入驻>640_466
图片尺寸640x466