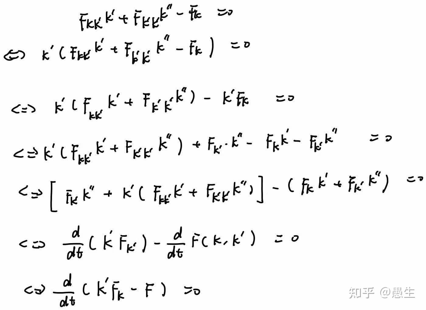
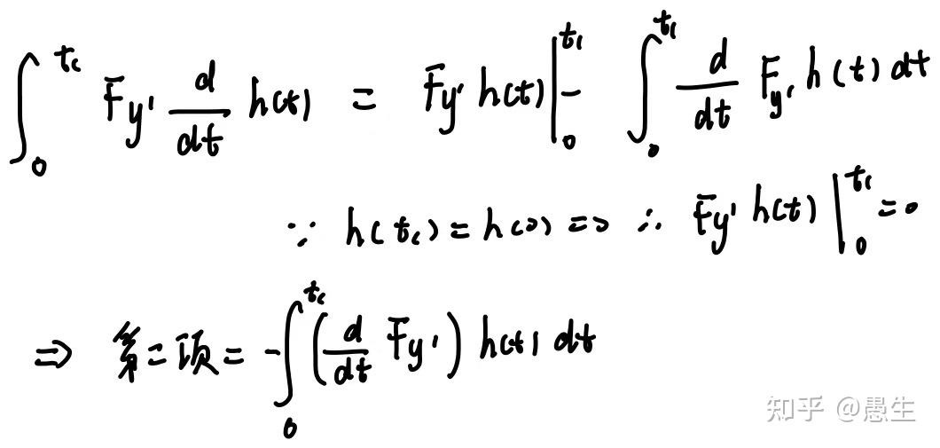
ramsey模型

ramseymodel拉姆齐模型
图片尺寸615x426
ramseymodel拉姆齐模型
图片尺寸640x640
ramsey定理
图片尺寸569x463
ramsey定理
图片尺寸607x463
笔记分享中级宏观经济学ramseymodel3
图片尺寸1080x822
第四讲ramsey模型-动态经济学分析ppt
图片尺寸1080x810
ramsey储蓄模型
图片尺寸1060x505
bentley ramsey armchair 3d model
图片尺寸600x600
第三讲__拉姆齐模型ppt
图片尺寸1080x810
三,基本的真实经济周期模型 该模型是拉姆齐模型的离散时间的变体.
图片尺寸1080x810
ramsey储蓄模型
图片尺寸979x567
to survival analysis quandt ramsey模型在生存分析中的推广
图片尺寸800x800
复旦博士高级宏观经济学|带货币的拉姆齐ramsey
图片尺寸2824x1765
bentleyramsey沙发绅士首选客厅沙发系列
图片尺寸1080x1439
ramsey储蓄模型
图片尺寸1060x458
bentleyramsey床别墅豪宅的卧室标配
图片尺寸1080x1439
你同意daveramsey的理论吗
图片尺寸828x1104
ramsey储蓄模型
图片尺寸1400x1020
aaronramsey
图片尺寸731x1024
通过这种方式,这个图就变成了一个展示朋友间关系网络的视觉模型.
图片尺寸818x480