rearrangement

rearrangement
图片尺寸604x400
终焉·虚无 -rearrangement
图片尺寸1080x1080
两姐妹
图片尺寸1500x941
benzilic acid rearrangement(二苯基乙醇酸重排)
图片尺寸935x318
亚克力项链 潮流滑板少年吊坠 goodwood 厂家直销
图片尺寸1920x1200
nrhofmannrearrangement酰胺降级酰胺制备伯胺
图片尺寸500x229
【预订】rearrangement of the invisible
图片尺寸500x500
ova《re: 从零开始的异世界生活》10月6日于日本
图片尺寸1728x1080
贝克曼重排反应beckmannrearrangement
图片尺寸760x320
剧透预警差不多半个月终于肝完了re从零开始的异世
图片尺寸1127x1600
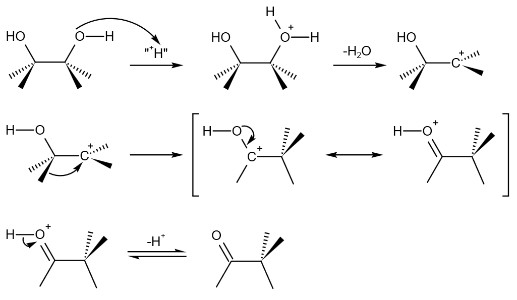
有机人名反应频哪醇重排反应pinacolrearrangement
图片尺寸1025x595
有机人名反应频哪醇重排反应pinacolrearrangement
图片尺寸1437x433
有机人名反应:wolff rearrangement
图片尺寸447x163
re从零开始的异世界生活
图片尺寸1240x1760
press release
图片尺寸5616x3744
p>贝克曼重排反应(beckmann rearrangement)指 a target="_blank"
图片尺寸600x472
medspa
图片尺寸753x502
wolffrearrangement重氮酮至烯酮的重排
图片尺寸500x216
p> b>hayashi重排反应 /b>(hayashi rearrangement),以日本化学家 mo
图片尺寸459x417
施密特重排schmidtrearrangement
图片尺寸550x270