regressive

没有了辅助检查,医生还会看病吗?
图片尺寸1046x1078
4 cm 长 x 35.56 cm
图片尺寸1200x861
color is easily
图片尺寸1500x1620
davinci resolve 是一款将视频编辑,色彩矫正,视觉特
图片尺寸960x1280
with quality background. perfect design.
图片尺寸450x347
kumar organic products has acquired certificates and
图片尺寸400x800
托福阅读
图片尺寸620x375
【4周达】regressive taxation and the welfare state: path
图片尺寸800x800
preferred word in a red round grunge style stamp
图片尺寸450x376
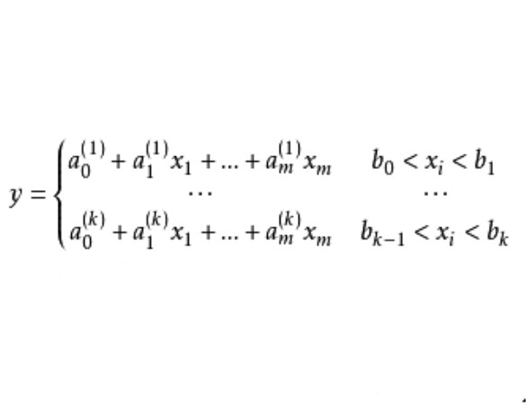
p>门限回归模型(threshold regressive model,简称tr模型或trm)是 a
图片尺寸585x450
关于人工智能世界新模型附下载
图片尺寸1654x930
regressive是什么意思
图片尺寸208x242
what a great time to launch our sexual health
图片尺寸658x658
数据分析进阶机器学习python入门然后呢71
图片尺寸1080x1439
reconstruction in practice celp:filtre auto-regressiveif the
图片尺寸1348x840
relax nothing is under control abstract quote lettering.
图片尺寸450x470
language model的建模方法,迂回地解决了auto-regressive模型
图片尺寸2514x1586
作为#人体工程学 领域的全球领导者,humanscale
图片尺寸1080x1080
i pushed myself past my limit: hackensacks
图片尺寸540x360
什么是退行性自闭症
图片尺寸868x1156