resonance hybrid

光明之响重制版游戏下载_shining resonance refrain中文版下载-下载
图片尺寸600x337
resonance contributor resonance structure resonance hybrid
图片尺寸680x233
resonance hybrid_(~63~)
图片尺寸500x735
mansory迈莎锐基于阿斯顿马丁db11定制
图片尺寸5626x2979
resonancept2太好拍了
图片尺寸1080x1080
微博 04 查看更多 a 微关系 他的关注(245) resonance共振·木子洋
图片尺寸360x540
resonance22fwlookbook
图片尺寸1080x1441
in this type of measurement one looks at the resonance shift
图片尺寸1016x291
微博 04 查看更多 a 微关系 他的关注(245) resonance共振·木子洋
图片尺寸360x540
magnetic resonance imaging (mri) can visualize soft organs like
图片尺寸2048x1364
lemmaid="15872228">光明之响 /a>》(shining resonance)登场的 a
图片尺寸850x1167
预订 hybrid pet/mr imaging, an issue of magnetic resonance
图片尺寸333x500
chart two resonance forms for l
图片尺寸997x556
resonance神椿スタジオkamitsubakistudio
图片尺寸1600x900
colnagov3rs冰冻白xprinceton4550
图片尺寸1080x720
小排量都赔死了揭秘2017美国最保值车还有谁
图片尺寸1600x1200
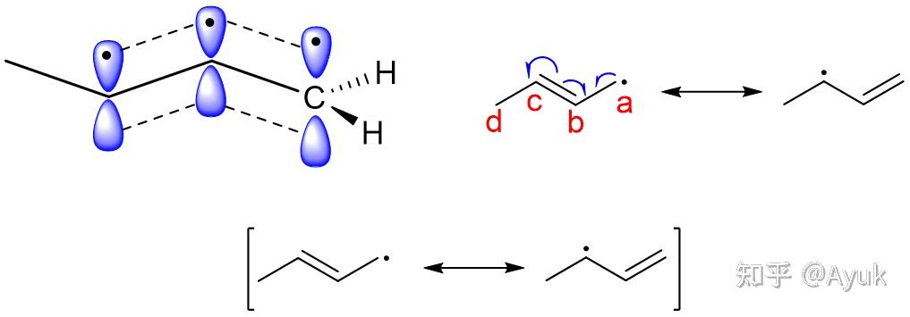
有机化学の共振论(resonance theory) - 知乎
图片尺寸1017x355
公路车 比利时9790ridley helium slx
图片尺寸1080x719
2022 bmc slr01 disc one海军蓝/红配色碳纤公路整车
图片尺寸1080x810
shining resonance
图片尺寸1280x720