ritz法

莉法
图片尺寸1080x1920
莉法
图片尺寸700x988
莉法的武器叫什么啊
图片尺寸723x507
莉法
图片尺寸670x1191
海贼王泽法为何不使用倒退果实网友战力和年龄无关
图片尺寸722x560
p>卡莉法,日本漫画《 a href="#" data-lemmaid="8904">航海王 /a>》
图片尺寸2208x1242
主教 莉法/桐谷直叶
图片尺寸1024x1024
莉法援护
图片尺寸1317x980
莉法娜小姐
图片尺寸1280x1810
《海贼王》黄猿身为海军大将,他的剑术是不是也是顶级的呢
图片尺寸539x738
雷兹—卡尔通(ritz—carlton)旅店公司是一家跨国公司,1992年曾获
图片尺寸548x535
由莉·阿尔法
图片尺寸768x768
卡莉法(动漫人物)
图片尺寸800x1231
活动作品ff7re蒂法隐藏支线是恋爱的感觉
图片尺寸1244x777
瑞利法
图片尺寸475x472
薄板的屈曲ppt
图片尺寸1080x810
转载fgo流量党慎入p站搬运黑贞怀孕连载画
图片尺寸620x877
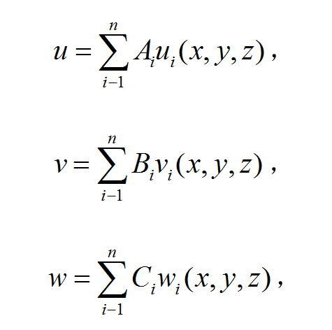
matlab:导数边界值的有限元(ritz)法
图片尺寸1230x632
利维·艾莉法 - 萌娘百科 万物皆可萌的百科全书
图片尺寸280x280
99马尔代夫丽思卡尔顿酒店(the ritz carlton maldives)是马尔代夫
图片尺寸1080x1440