scrim

41种深受北美枪迷喜爱的突击步枪
图片尺寸1080x810
人渣
图片尺寸720x720
预订 scrim: the man with a mike
图片尺寸800x800
k7与世界顶尖战队pxr的scrim个人pov(22-9)
图片尺寸1600x1000
【预订】scrim: the man with a mike
图片尺寸500x500
scrimish strategy card game - easy to learn portable game f
图片尺寸450x450
人渣scum丧尸求生:59 太惨了为了捡空投被活活炸死
图片尺寸1280x720
110cm 43in scrim large silver diffuser reflector collapsible
图片尺寸800x800
德国sunscrim摄影棚无接缝蝴蝶布绑绳加州阳光天衣无缝蝴蝶柔光屏
图片尺寸1080x1920
online shopping fiberglass scrim mesh for mosquito insect
图片尺寸750x750
scum人渣 枪械射击合集(无手枪,ak15)
图片尺寸1728x1080
【预售 按需印刷】scrimshander s secret scrapbook of whaling era
图片尺寸1000x1333
best price hot sale fiberglass scrim mesh
图片尺寸1000x665
westcott scrim jim cine kit (4 x 6 ft.
图片尺寸500x500
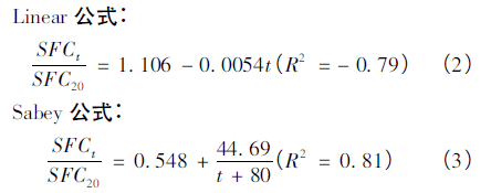
对于scrim系统测定路面摩擦系数的探讨
图片尺寸444x175
scrim-of-both-residence-towers-and-ariel-view-of-the-academic
图片尺寸2000x1333
vaneli女款单鞋|scrim
图片尺寸1024x768
6框 德国sunscrim摄影棚有接缝蝴蝶布绑绳加州阳光蝴蝶柔光屏带魔术腿
图片尺寸883x1569
英语演讲稿--种族歧视 raiac liscrimidatnoi 种n歧族视
图片尺寸1080x810
8/24(木) pubg scrim japan 2023-08-24 19:20
图片尺寸1280x720