secx的原函数

2不定积分的计算3.48mbppt
图片尺寸1080x810
正割余割函数
图片尺寸1080x810
secx的定义域
图片尺寸750x400
secx的图像要图不要文字
图片尺寸681x333
专升本高数之不定积分经典例题之secx 的那些题 #专升本零 - 抖音
图片尺寸1920x1440
y=sec x 图像截图
图片尺寸416x418
1-1-2初等函数ppt
图片尺寸1080x810
数学:1.2.1《三角函数的定义_》(新人教b版必修4)ppt
图片尺寸1080x810
正割函数 y sec x y sec x secx cosx 正割函数是以 为
图片尺寸1080x810
secx的原函数
图片尺寸610x804
正割函数secx等于什么
图片尺寸586x400
secx shx thx chx 都是什么函数呀?最近在数学分析上看见过.
图片尺寸768x345
ppt版 比较简洁 希望对大家有用 简单的三角函数 定义 cot
图片尺寸1080x810
普林斯顿微积分
图片尺寸1098x696
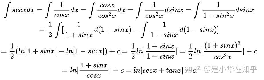
secx的不定积分怎么求
图片尺寸921x280
图片浏览
图片尺寸418x364
数学反三角函数定义及公式
图片尺寸500x910
4.1三角函数的图像与性质ppt
图片尺寸1080x810
章一函数与极限01映射与函数1映射
图片尺寸663x530
三角函数的另外三个伙伴cotseccsc
图片尺寸1950x1496