sin²➕cos²=1

x05 x/x05-1 化简_百度知道
图片尺寸359x480
①△三角函数诱导公式99sin05x cos05x=1;99sin2x=2sinx
图片尺寸664x768
cos2xdx = 1/2 ∫cos2xd(2x) = 1/2 sin2x c,∫cos05xdx = ∫(1
图片尺寸629x453
将y=1/x x05 y05=9 y=|—2x| 和 x=—3|sin y| 的图像拼在1起
图片尺寸861x1280
求函数y=2sin xcos x sin05x-cos05x的最小正周期,最大值,以及
图片尺寸3264x2448
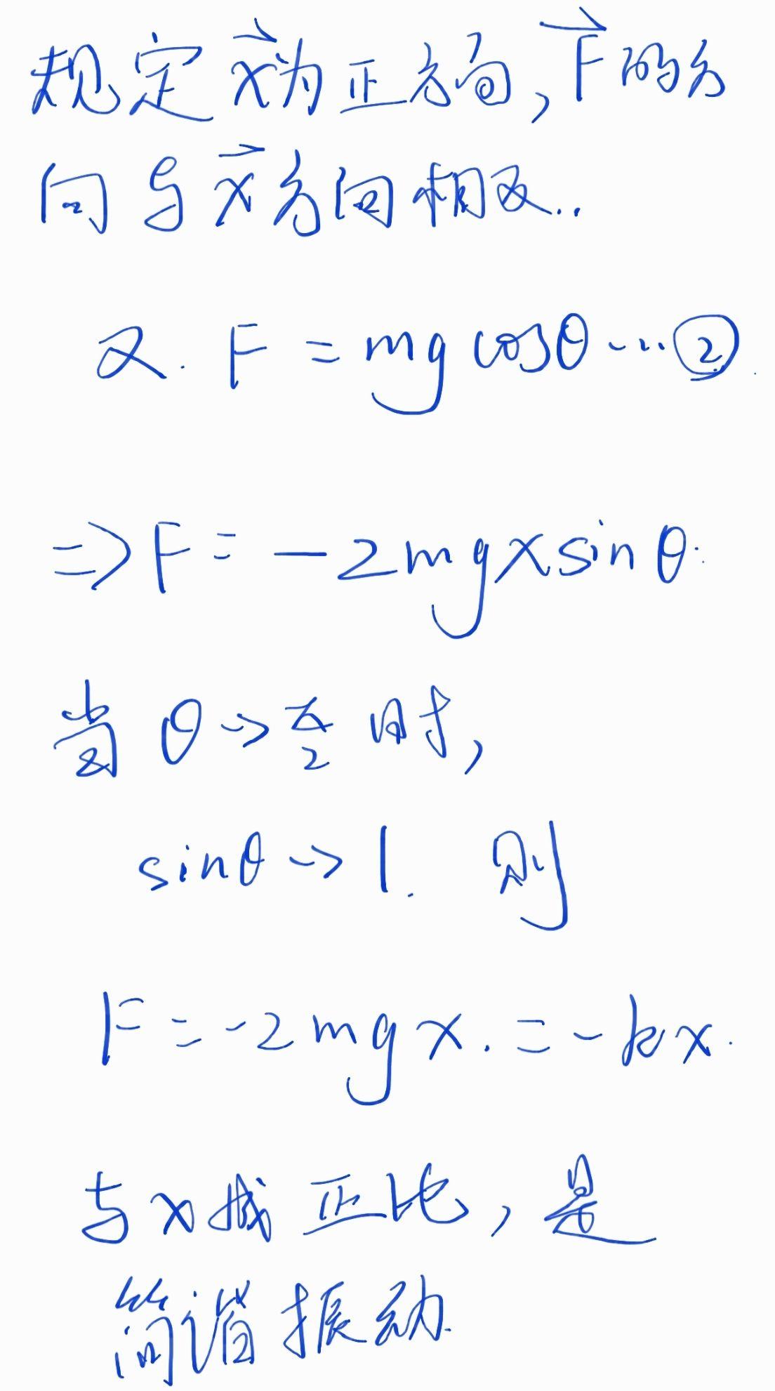
为什么在y=x05上运动的物体是简谐运动(simple harmonic motion)无
图片尺寸1104x1981
为什么 lim(x→0, sin05x-x05cos05x/x05sin05x) 不能直接
图片尺寸720x960
若a是锐角,且sin05a cos0510°=1,则a为多少_百度知道
图片尺寸1040x584
鼻祖笛卡尔的数学公式r=a(1-sinθ)这是一个极坐标方程,θ代表与x轴正
图片尺寸513x494
tan05x为什么等于sec05x-1_百度知道
图片尺寸492x656
lim sin05x-x05cos05x/x(e^2x-1)ln(1 tan05x)
图片尺寸4608x2108
(e^x-1-x)05/sin06x当x趋近0时等于什么_百度知道
图片尺寸780x1040
1/1 cos05xdcosx原函数是多少_百度知道
图片尺寸780x1040
如何证明sin05θ cos05θ=1? - 知乎
图片尺寸409x283
数学:(πcosπ-sinπ)/π05=-1/π
图片尺寸360x480
cos2x=1-2sin05x cosx=? 1-cosx=?_百度知道
图片尺寸744x992
若2α 90°,证明tan2α={2tanα}/{1-tan05α}
图片尺寸3264x2448
求f(cosx)=sin05x-tan05x,f(1)=1,求fx_百度知道
图片尺寸450x338
求积分∫x√(2sinΨx-cos05Ψx05)dx 其中Ψ为已知量._百度知道
图片尺寸960x1280
根号下不是√cos05*sin05吗_百度知道
图片尺寸744x992