sin cos转换

sin和cos的转化公式
图片尺寸600x400
sin与cos的转换公式口诀
图片尺寸500x538
cos30.45.60.sin30.45.60.是多少?
图片尺寸356x413
sin cos tan什么边比比
图片尺寸725x490
三角形特殊sin,cos,tan, cot函数值对照表 最后一张是边和角的对应
图片尺寸961x1280
求sin cos tan 30 45 60 90 反正到180度的值,如sin 30是2/1
图片尺寸417x486
sincostan数值表图是以角度数学上最常用弧度制
图片尺寸500x500
sin-cos-tan公式
图片尺寸959x1356
三角函数sin度数转换成cos度数和他们之间的转换关系式,望发图详细点
图片尺寸600x800
tan15° sin15° cos15° tan75° cos75° sin75° tan105° cos105
图片尺寸600x499
sin平方加cos平方等于1?
图片尺寸777x347
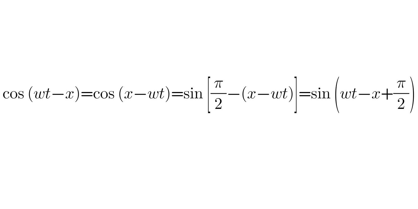
coswtx如何换成sin
图片尺寸1636x818
高中数学sin cos tan公式
图片尺寸750x400
弧度角度0360的sincostan值
图片尺寸600x329
cosθ 和sinθ用e^θ和e^θi怎么表示?
图片尺寸344x267
sin15度cos15度=
图片尺寸474x262
三角函数97特殊值对照表 公示记忆口诀 第一张是三角函数sin.cos.
图片尺寸961x1280
1-cosα sinα α (4)tan2= = sinα 1 cosα
图片尺寸1080x810
解cosx-sinx/√2/2(sinx cosx)=√2/3怎么变cosx-sinx=1/3
图片尺寸1040x584
2sinθ=1 cosθ则tanθ为多少,不用余切
图片尺寸768x480