sin2a

sin2a等于什么公式
图片尺寸640x341
已知sin2a=4分之3且a为锐角,求sina和c0sa的值
图片尺寸662x390
知道sin2a怎么求sina
图片尺寸790x518
sin2a等于什么公式
图片尺寸640x341
西陇化工2013年报企业排名及薪酬报告(石油化学制品业
图片尺寸2448x3264
产品详情2n2222a型号分立半导体产品类型全国可售卖地
图片尺寸539x552
sin(2a 3分之派) sin(2a-3分之派)为什么=sin2a
图片尺寸450x600
知道sin2a怎么求sina
图片尺寸560x372
求∫(0,2兀)(sin2a)/2da
图片尺寸715x221
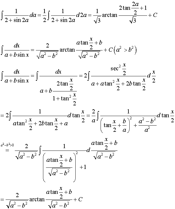
1/(2 sin2a)的不定积分
图片尺寸590x704
6a10/6a8/6a6/6a4/6a2/6a1, asemi整流二极管 r-6轴向插件封装
图片尺寸597x629
sin2a=(sina cosa)^2-1?
图片尺寸796x454
就是不懂如何化成sin2a这一步的 求详解
图片尺寸3264x1840
已知tana=2求2sin2a sinacosa-3cos2a的值 中间的2说是平方,谢谢!
图片尺寸984x399
已知角tana=-2,求sin2a及(2sina cosa)/(sina-2cosa)的值
图片尺寸446x182![为什么x=sin^2a,就得a∈[0,π]? 3π/4不是135度吗,为什么sin值为1?](https://imgs.wantubizhi.com/img/A1A61BAA66193547F3A6DD7D8EE527E91B948CF337CDA74E7E6182872F87CCE761FE938864BF33CAB3F12EF52F036A8A1D832A45FDB86B456B3B3C482F6FFA11FAC45B77E00A0C426F70C2FCACB3E4C45BDB49983E77DA2A4A40ABCE1752C5E8)
为什么x=sin^2a,就得a∈[0,π]? 3π/4不是135度吗,为什么sin值为1?
图片尺寸816x612
tan cos2a = tan 2tan sin2a = tan
图片尺寸1080x810
sin2a是不是等于2tana/1 tana^2
图片尺寸450x600
sin2a等于sin2b是什么三角形怎么判断
图片尺寸570x228
qv 2prh = r sin2a r = rsina qv h= sina 4pr 结束
图片尺寸1080x810