sinx/x积分

sinx05 的原函数是什么? - 知乎
图片尺寸1536x2048
sinx的n次方的不定积分怎么求?
图片尺寸562x484
(sin x)整体四次方的不定积分.
图片尺寸640x480
(xsinx)平方的不定积分
图片尺寸600x648
sinx的五次方在0到∏上的定积分怎么求? - 知乎
图片尺寸2048x1436
积分限为0到π2被积函数为sinx的n次方的积分公式是什么
图片尺寸600x600
x(sinx)的积分
图片尺寸780x1040
x乘以(sinx)3次方求不定积分
图片尺寸3264x2448
不定积分(sinx的平方)dx=?
图片尺寸294x410
大家帮帮忙高数的三角函数积分
图片尺寸885x1089
x的2次方sinxdx 用部分积分法求不定积分 在线等 谢谢
图片尺寸3264x2448
sinx的n次方的积分公式
图片尺寸893x660
求解答:计算定积分 x/(sinx^2) 范围π/4到π/3 谢谢
图片尺寸724x336
大一高数积分题,首先转化为对sinx的积分,然后呢,求过程,在线采纳
图片尺寸780x1052
sinx分之一的不定积分是多少?
图片尺寸563x265
定积分(x sinx)dx上面是2分之派下面是负2分之派
图片尺寸1600x900
ysinx正弦函数15次方倒数的不定积分
图片尺寸500x584
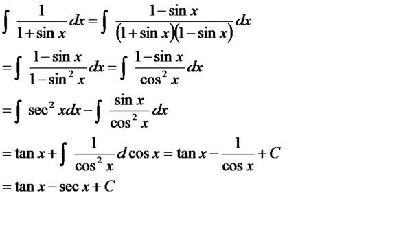
1/1 sinx不定积分,要用换元积分法
图片尺寸600x338
y=sinx在(0,π)上的定积分
图片尺寸360x314
sinx四次方的积分怎么求
图片尺寸1018x392