spirocyclic

chemical synthesis of spirocyclic piperidines by double ring
图片尺寸683x374
heterocyclic chromene-spirocyclic piperidine amides as
图片尺寸1879x1118
spirocyclic c-glycosides
图片尺寸1040x861
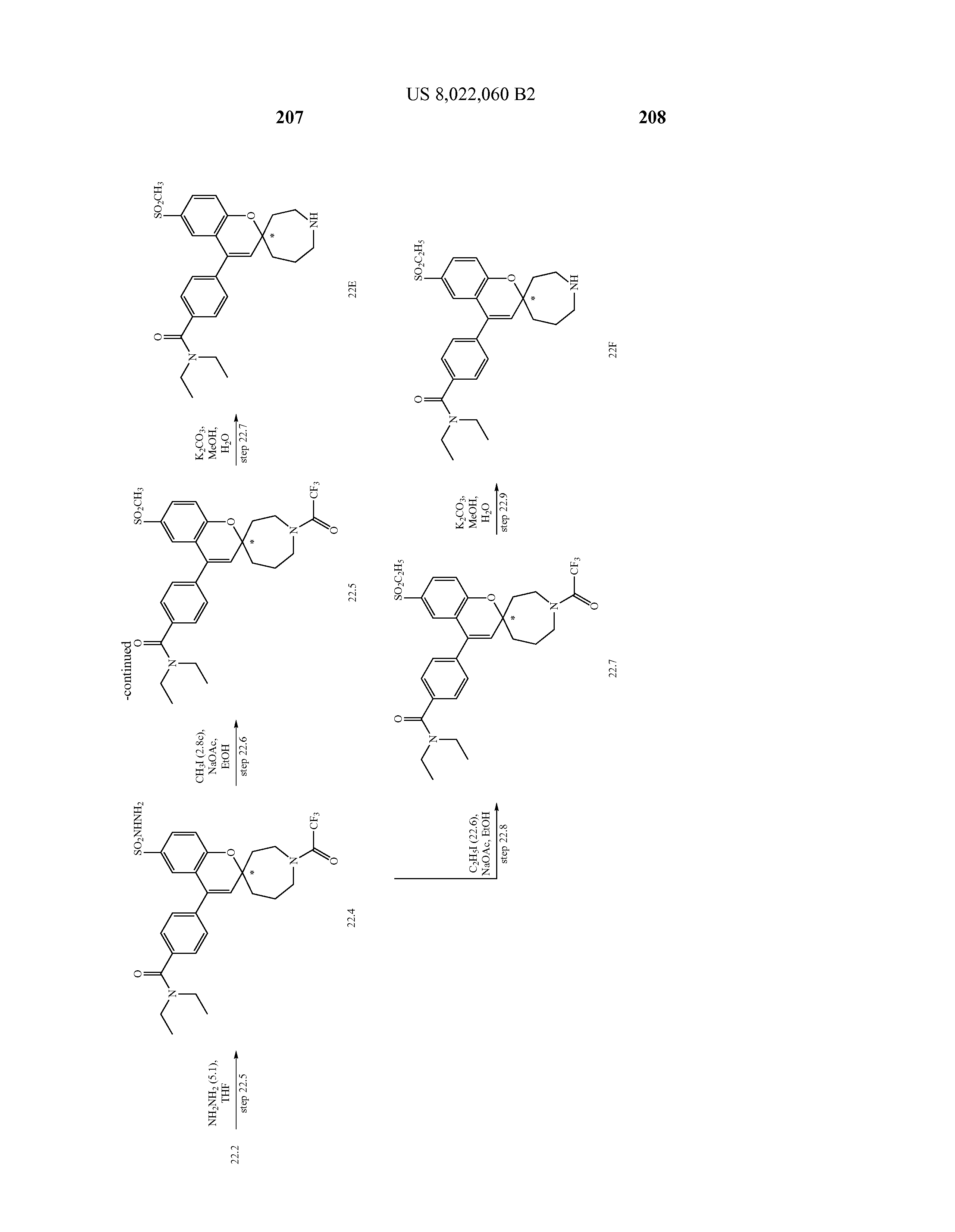
spirocyclic heterocyclic derivatives and methods of their use
图片尺寸499x567
spirocyclic quinuclidinic ether derivatives
图片尺寸1605x885
spirocyclic heterocyclic derivatives and methods of their use
图片尺寸2560x3300
substituted spirocyclic cgrp receptor antagonists
图片尺寸1205x419
spirocyclic gpr40 modulators
图片尺寸1061x407
spirocyclic compounds as modulators of chemokine receptor
图片尺寸847x460
efficient synthesis of spirocyclic nucleosides via michael
图片尺寸413x454
spirocyclic compounds as modulators of chemokine receptor
图片尺寸1359x515
spirocyclic heterocyclic derivatives and methods of their use
图片尺寸2560x3300
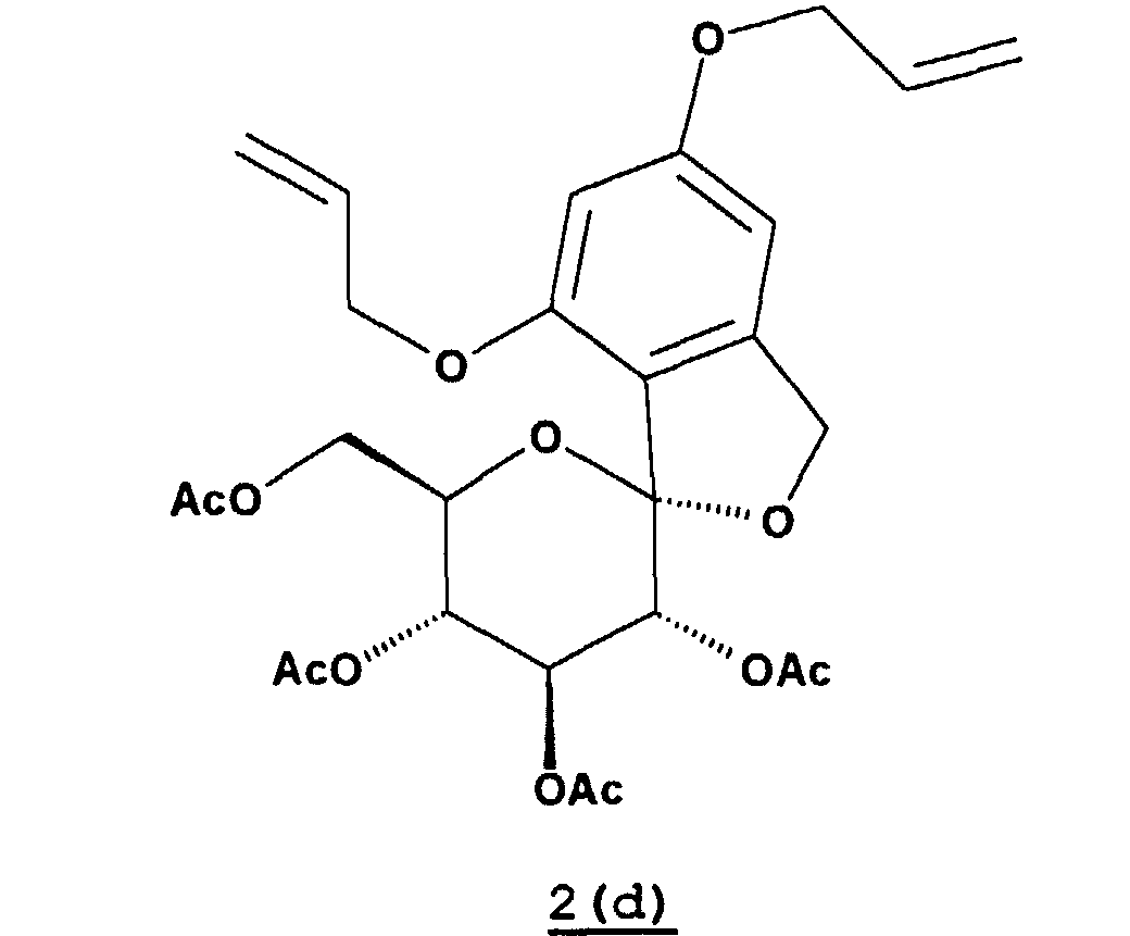
spirocyclic c-glycosides
图片尺寸1856x1031
spirocyclic ureas, compositions containing such compounds and
图片尺寸949x507
专利wo2008083950a2 - spirocyclic tetronic acid derivatives
图片尺寸761x375
spirocyclic heterocyclic derivatives and methods of their use
图片尺寸455x395
spirocyclic heterocyclic derivatives and methods of their use
图片尺寸2560x3300
substituted spirocyclic piperidine derivatives as histamine-3
图片尺寸1795x711
spirocyclic nitriles as protease inhibitors
图片尺寸2035x1296
spirocyclic bicyclolides
图片尺寸825x498