squarepyramidal

square pyramidal (ax5e1)
图片尺寸240x225
file:square pyramidal number.svg
图片尺寸981x477
file:square-pyramidal-3d-balls.png
图片尺寸1100x891
normal map representing an exalted square pyramidal frustum.
图片尺寸1024x768
structures and supramolecular architectures of square pyramidal
图片尺寸1200x793
local structure order parameters and site fingerpri
图片尺寸1418x823
坐骨神经位置图片29
图片尺寸522x400
pyramidal 2.0 by allfortof
图片尺寸500x333
the different types of population pyramids explained
图片尺寸1280x720
– the tract is one of the pyramidal tracts, the other being
图片尺寸500x507
p>新疆杨(学名: i>populus alba /i> var. i>pyramidalis /i> bge.
图片尺寸700x465
the gothic spire a spire is a tapering conical or pyramidal
图片尺寸1080x810
file:trigonal-bipyramidal-3d-balls.png
图片尺寸968x1100
划重点6015博导都在用的科研绘图素材网站.
图片尺寸650x840
人类皮质的神经细胞约140亿,主要有三种类型:锥体细胞pyramidalcells
图片尺寸720x1054
甲状腺解剖结构图ppt
图片尺寸1080x810
not always) created by sewing multiple identical pyramidal
图片尺寸360x360
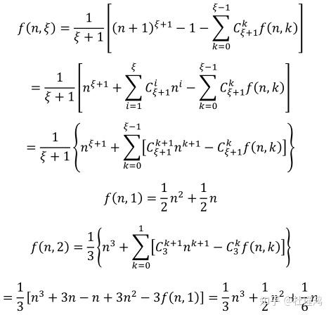
首先我们有:所以一个特例: 的数列和(平方金字塔数(square pyramidal
图片尺寸471x448
rnn最新资讯
图片尺寸480x290
锥体细胞(或称betz细胞),这些细胞的轴突组成下行的锥体束(pyramidal
图片尺寸660x639