structural isomer

isomerism例题讲解
图片尺寸1080x1440
agk7,structural isomer of agk2 (ab144548)
图片尺寸1774x706
stereoisomer (configurational isomer)
图片尺寸500x224
丙体六六六-异辛烷溶液
图片尺寸283x252
the scope of structural isomerism
图片尺寸486x334
00 isrib (trans-isomer)是perk激酶信号转导抑制剂,ic50值为5nm
图片尺寸297x303
the scope of structural isomerism
图片尺寸662x928
kinase inhibitor开始比较(最多4个产品)(1)agk7, structural isomer
图片尺寸280x230
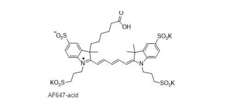
af647 羧酸,alexa fluor 647羧酸,是二抗标记的常规荧光染料
图片尺寸749x358
羧基荧光素叠氮化物,能够实现对生物分子的追踪_alkyne_-isomer_azide
图片尺寸718x367
龙龙以第一作者在国际权威期刊small上发表题为"structural isomerism
图片尺寸1143x386
结构式(with the same molecular formula but different structural
图片尺寸1080x342
synthesis of cyclic chiral α-amino boronates by
图片尺寸954x800
energetics, thermal isomerisation and photochemistry of the
图片尺寸1445x1309
专利cn102180878b - dolasetron isomer or salt thereof
图片尺寸618x394
180144-70-1,6-罗丹明6g琥珀酰亚胺酯由罗丹明6g
图片尺寸633x330
异硫氰酸荧光素酯fluoresceinisothiocyanateisomer1
图片尺寸342x224
in short, the compound of structural formula (iii) , i.e.
图片尺寸673x615
同分异构体又称同分异构物,英文为isomer.
图片尺寸350x229
switching between vocus ptr-tof-ms and ei-tof-ms: isomer
图片尺寸532x513