taylor展开式

部分taylor展开式#高等数学 #泰勒 #考研 @dou - 抖音
图片尺寸971x645
2 常用taylor展开式3 taylor展开式的变形4 taylor 余项估计截断误差f
图片尺寸1058x672
2 常用taylor展开式3 taylor展开式的变形4 taylor 余项估计截断误差f
图片尺寸645x446
泰勒级数展开
图片尺寸658x797
chat: wow-chenglinli 671 人 赞同了该文章 0 参考链接1 taylor公式
图片尺寸794x489
泰勒展开式
图片尺寸432x105
英文:taylors formula一,基本知识导数的意义 1 阶导数表示函数的
图片尺寸560x420
sinx泰勒展开数学求极限之等价无穷小taylor展开
图片尺寸610x454
把taylor展开式写成矩阵的形式:上面可能还有些抽象,下面给出二元函数
图片尺寸1240x302
泰勒展开式
图片尺寸580x519
已知自然常数e的泰勒展开式是高等数学ch33泰勒公式
图片尺寸920x549
new 第八节 多元函数的taylor公式ppt
图片尺寸1080x810
taylor展开定理
图片尺寸300x424
一些常用函数及其泰勒taylor展开式的图像doc8页
图片尺寸792x1120
数分中的taylor展开
图片尺寸746x370
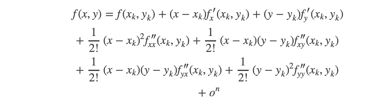
多元函数(n)在点xk处的泰勒展开式为:把taylor展开式写成矩阵的形式
图片尺寸1264x332
多元函数的泰勒(taylor)展开式-腾讯云开发者社区-腾讯云
图片尺寸501x256
微积分11泰勒展开taylorseries
图片尺寸1782x886
关于泰勒公式展开
图片尺寸500x212
一些常用函数及其泰勒taylor展开式的图像doc8页
图片尺寸792x1120