tensorflow数据流图

tensorflow完整程序详解构建并运行数据流图
图片尺寸1119x936
61 tensorflow数据流图介绍
图片尺寸600x1089
构建tensorflow数据流图
图片尺寸1920x936
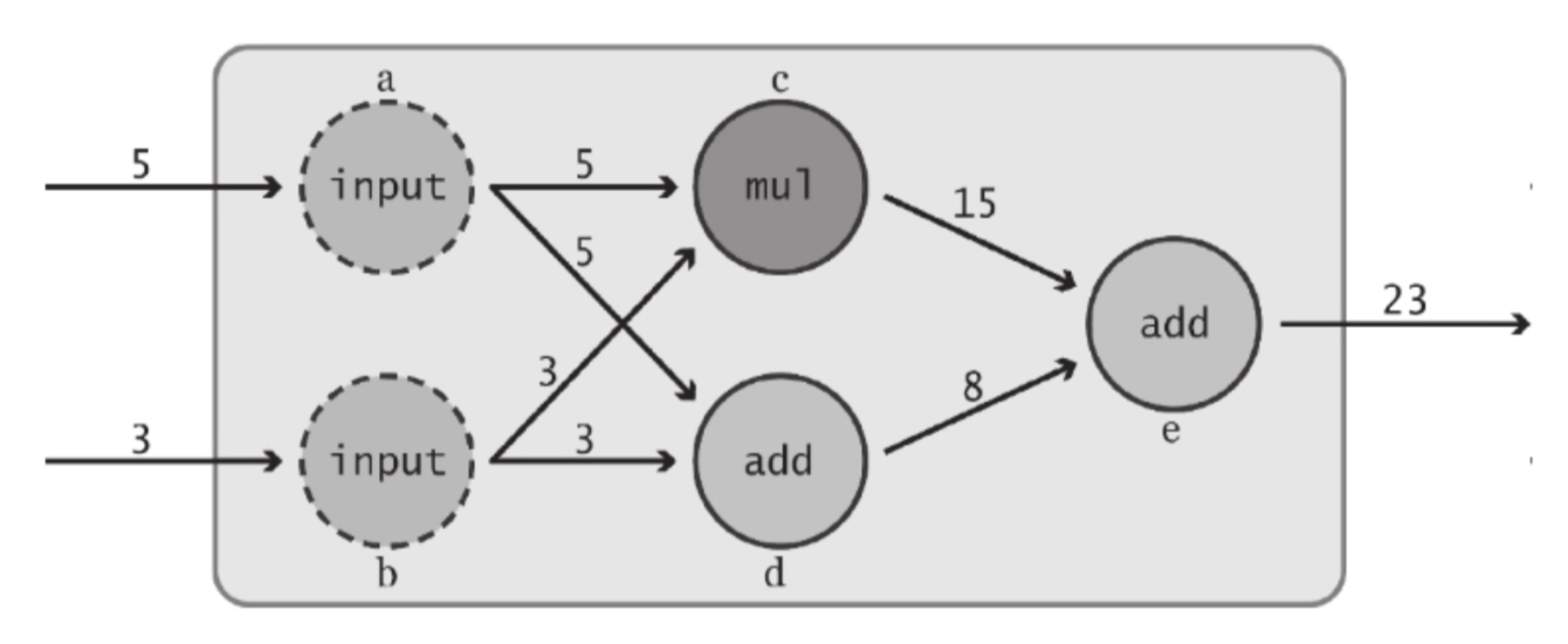
简单数据流图
图片尺寸2680x1100
图4 样本数据流程及核心优化点
图片尺寸2283x783
只要计算任务可以表示为一个数据流图,我们就可以使用tensorflow 来
图片尺寸528x498
61 tensorflow数据流图介绍
图片尺寸1144x568
数据流图
图片尺寸4032x1914
graph 是由一系列边(tensor)和节点(operation)组成的数据流图
图片尺寸1644x2010
数据流图
图片尺寸1814x1510
tensorflow架构流程
图片尺寸723x330
2.计算图(数据流图)的概念
图片尺寸547x879
tensorflow学习笔记20190103
图片尺寸785x599
tensorflow计算流程
图片尺寸537x557
tensorflowtensorflow基础概念数据流图张量操作可视化工具tensor
图片尺寸252x448
分层数据流图
图片尺寸987x469
数据流图
图片尺寸885x975
数据流图
图片尺寸1254x821
线:节点简的输入输出关系节点:处理数据数据流图,如下:支持多平台-gpu
图片尺寸581x945
数据流图
图片尺寸1922x2400