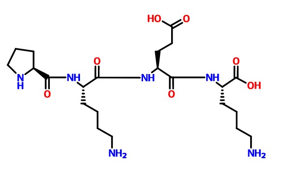
tetrapeptide

四肽-30 tetrapeptide-30
图片尺寸340x274
chemotactictetrapeptide
图片尺寸1479x612
home palmitoyl tetrapeptide-7 unit price : $1
图片尺寸800x800
四肽4
图片尺寸920x899
inci:acetyl tetrapeptide-5 - 厚福生物科技江苏有限公司
图片尺寸492x622
按国家浏览chemotactic tetrapeptide国外供应商中国供应
图片尺寸531x268
high purity cosmetics peptide acetyl tetrapeptide-5
图片尺寸1000x750
乙酰基四肽-11acetyl tetrapeptide-11重新焕发青春气息
图片尺寸558x475
乙酰基四肽-2 757942-88-4 acetyl tetrapeptide-2 现货
图片尺寸480x480
乙酰基四肽5
图片尺寸430x410
palmitoyltetrapeptide3
图片尺寸863x583
芋螺抗皱素
图片尺寸400x379
乙酰基四肽40acetyltetrapeptide40telangyn
图片尺寸500x500
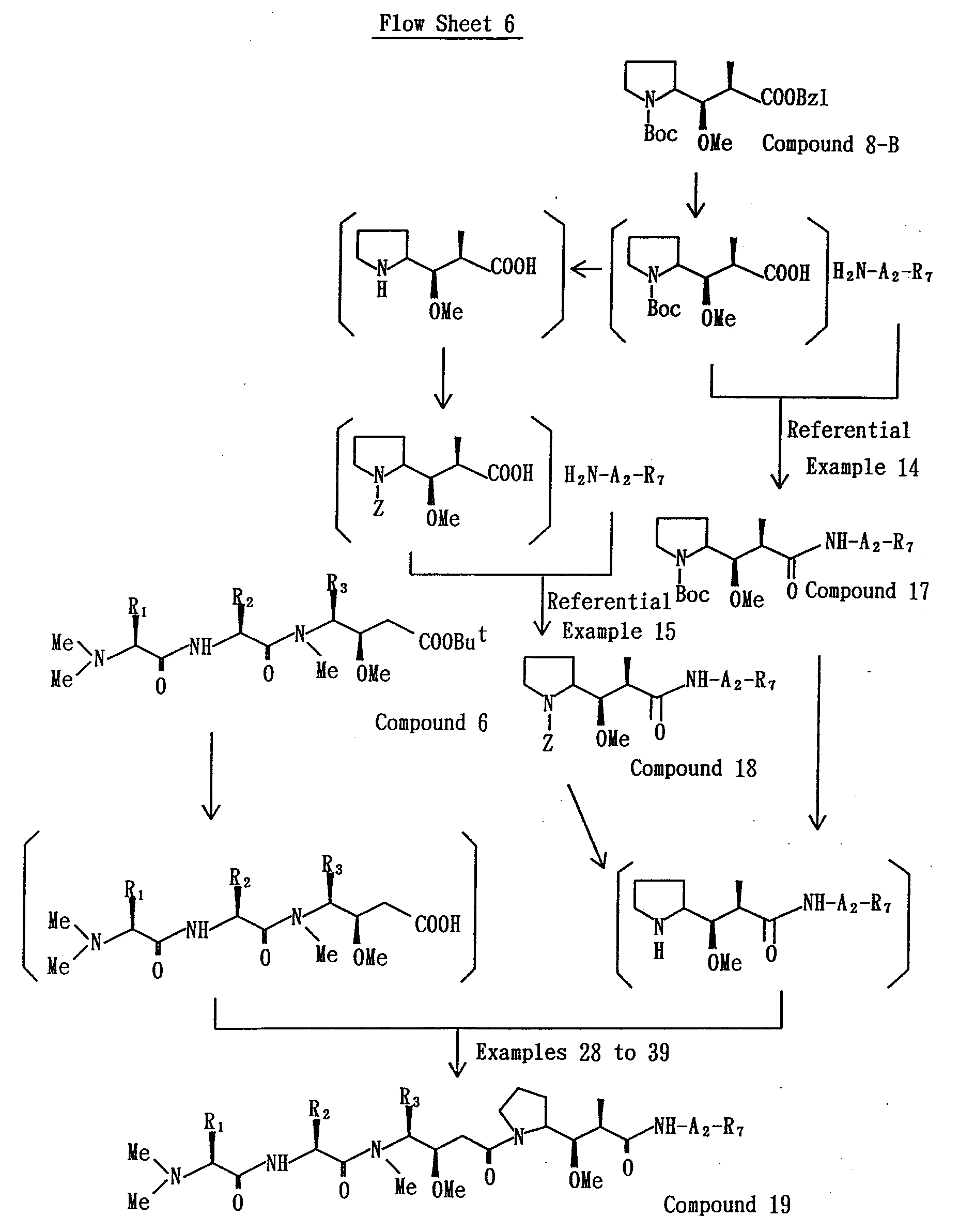
tetrapeptidecompoundpreparationmethodandusethereof
图片尺寸364x428
肉豆蔻酰四肽12
图片尺寸500x374
add to favorites
图片尺寸800x800
四肽-30,亮肤肽,tetrapeptide-30,tegopep价格-采
图片尺寸594x370
acetyl tetrapeptide-5n-乙酰基-beta-丙氨酰-l-组
图片尺寸605x375
tetrapeptide derivative
图片尺寸1856x2384
tetrapeptide stimulating functional activity of hepat
图片尺寸949x539