triton试剂

sigma triton64 x-100 100ml_通用试剂_精细化学_其他通用试剂_常规
图片尺寸378x378
ph0352 曲拉通 triton x-100 科研试剂 100ml 实验专用 100ml
图片尺寸800x800
曲拉通tritonx-100乳化剂100ml/500ml科研试剂 100ml
图片尺寸800x800
triton64 x-45
图片尺寸1200x1327
triton 气相色谱固定液分离 非离子表面活性剂 德国biofroxx生化试剂
图片尺寸800x800
ez488tunel细胞凋亡检测试剂盒绿色荧光
图片尺寸600x142
pcr反应的几大要素各组分和条件
图片尺寸660x378
科研试剂 曲拉通 triton x-100 amresco0694100ml 100ml
图片尺寸800x800
2024款三菱triton皮卡配置售价曝光价格增幅超15
图片尺寸1024x563
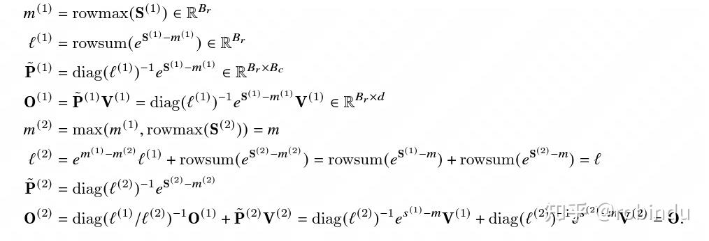
lightllm代码解读番外篇tritonkernel撰写
图片尺寸998x535
pcr反应的几大要素各组分和条件
图片尺寸398x384
lightllm代码解读番外篇tritonkernel撰写
图片尺寸1014x346
jenabioscience艾美捷基于bttaa的cuaac细胞反应缓冲试剂盒
图片尺寸571x111
2024款三菱triton皮卡配置售价曝光价格增幅超15
图片尺寸752x395
三菱发布全新拉力版triton皮卡熔岩涂装惊艳全场酷乐汽车
图片尺寸1080x720
配超选四驱和后锁 限量500台售33万 三菱triton xtreme发布
图片尺寸960x540
三菱发布全新拉力版triton皮卡熔岩涂装惊艳全场酷乐汽车
图片尺寸1080x720
配超选四驱和后锁 限量500台售33万 三菱triton xtreme发布
图片尺寸960x540
实验试剂 gentihold原装 曲拉通x-100 triton x-100 t1454-500ml
图片尺寸800x800
concentrationqpro and μqpro kits -based on bca* 不受 triton x
图片尺寸1584x772