vadose

vadose-w综合渗流蒸发区分析和土壤表层分析软件abd-52操作说明
图片尺寸529x395
handbook of vadose zone characterization and monitoring
图片尺寸271x400
vadose zone
图片尺寸1024x808
海外直订handbook of vadose zone characterization & monitoring
图片尺寸800x800
海外直订vadose zone hydrology 包气带水文
图片尺寸800x800
【预订】handbook of vadose zone characterization & monitoring
图片尺寸280x400
【预订】vadose zone hydrology
图片尺寸340x425
海外直订vadose zone hydrology: cutting across disciplines 包气带
图片尺寸800x800
vadose
图片尺寸479x335
lildeeakaovadose流派:rap/hip hop嘻哈说唱语种:其他发行时间:2019
图片尺寸300x300
vadosew专业的综合渗流蒸发区分析和土壤表层分析软件
图片尺寸972x529
预订 vadose zone hydrology 9780195109900
图片尺寸500x500
【预订】vadose zone hydrology: cutting across disciplines
图片尺寸500x500
vadose water
图片尺寸495x564
张相片
图片尺寸333x500
郑西来教授团队在scienceofthetotalenvironment发表非饱
图片尺寸926x969
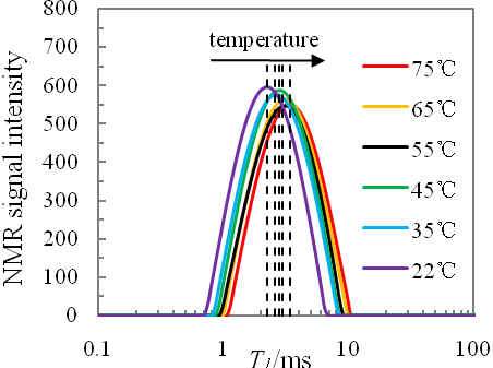
武汉岩土所核磁共振技术探测方法与应用研究获进展
图片尺寸452x337
of study on groundwater contamination risk assessment in vadose
图片尺寸4016x1806
protective capacity assessment of vadose zone material by geo
图片尺寸903x619
预订 inorganic contaminants in the vadose zone
图片尺寸333x499