x^3-1

不定积分 ∫x^3/1 xdx
图片尺寸450x600
作函数y=x-1/3 x^3的图像
图片尺寸450x341
求lim(1/1-x - 3/1-x06) x趋近于1时的极限
图片尺寸744x992
2015-2016学年高中数学 2.3幂函数课时作业 新人教a版必修1
图片尺寸1417x1234
用函数的单调性定义证明函数y=-x^3 1的单调性
图片尺寸2400x3200
y=x^1/3和y=x^-1/3的图像怎么做?
图片尺寸450x253![幂函数y=x^[(a-1)/3]](https://imgs.wantubizhi.com/img/ADDA3C5D760C6828B77B505A29D43E83B9924B362A172D64783EE5B39CBACFA277C8534044CCA6A08B1B30ADC532D32F1159FF5D262F0C93CF29B5A75D96BAE25C9448E406A71017298170E3C968DE2120C37BA26DEE1B7858E67E7AF9F31469)
幂函数y=x^[(a-1)/3]
图片尺寸402x275
计算x x分之1=3
图片尺寸1152x864
x三次方-1因式分解
图片尺寸750x400
三次函数y=x^3-1的图像在x轴下方的部分所对应的x的取值
图片尺寸791x734
把y=x^–1,y=x^–3画在一个坐标系里
图片尺寸744x992
y=(1/3)^x和 y=x的1/3次方的图象都什么样?还有哪个是幂函数?
图片尺寸387x389
因式分解.麻烦告知(x∧3 1)如何化到(x 1)(x∧2-x 1)这一步的
图片尺寸1052x780
2-x/x-3 1/3-x=1 x=
图片尺寸612x816
y= -x^3的图像.可手绘.
图片尺寸574x567
计算不定积分∫(x^4 3/x 1)dx
图片尺寸624x832
x^3-2x^2 1
图片尺寸540x804
高一数学 因为y=3的x次方 x>0 所以y>1 展开全部 y=3^x是个增函数.
图片尺寸599x423
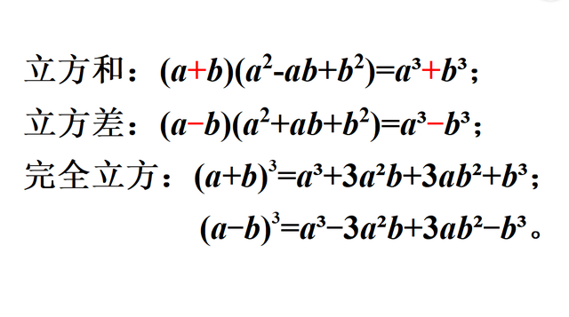
公式进行分解,正好里面还有个"1"可以看成1的立方,所以将x^3-1先分解
图片尺寸640x357
x→1时(x^3-1 lnx)÷(e^x-e)的极限,不会 tvt
图片尺寸780x1040