y=lnx

数学图像是怎么样的y=lnx
图片尺寸500x509
x>0时,ln(x^2)=2lnx;x
图片尺寸920x1302
单变量微积分笔记5导数5指数函数和对数函数的导数函数y=lnx 2x-6的
图片尺寸554x342
y=xlnx的图像怎么画出来,该曲线有拐点么? - 知乎
图片尺寸1112x1074
解答解:作出y=ex,y=lnx,y=4x4x的函数图象,分析作出y=ex,y=lnx,y=4x4x
图片尺寸271x273
y=lnx的图像和性质
图片尺寸640x341
怎么做作y=lnx的图像
图片尺寸361x279
如图y=x为蓝色曲线,y=ex为红色直线,y=lnx为蓝色曲线,由图可以观察x>0
图片尺寸273x290
题目:求曲线y=lnx在点(1,0)处的切线方程. 求全解答过程
图片尺寸478x488
y=| ln|x| | 的图像是什么 ?帮一下忙 谢谢!
图片尺寸854x474
函数y=lnlxl/x的图像大致是怎么样的
图片尺寸684x437
求函数y=lnx/x 1的图形
图片尺寸878x485
求y=lnx(lnx)的导数,详细点,做的好给分
图片尺寸450x471
关于函数y=xlnx的图像问题!
图片尺寸349x425
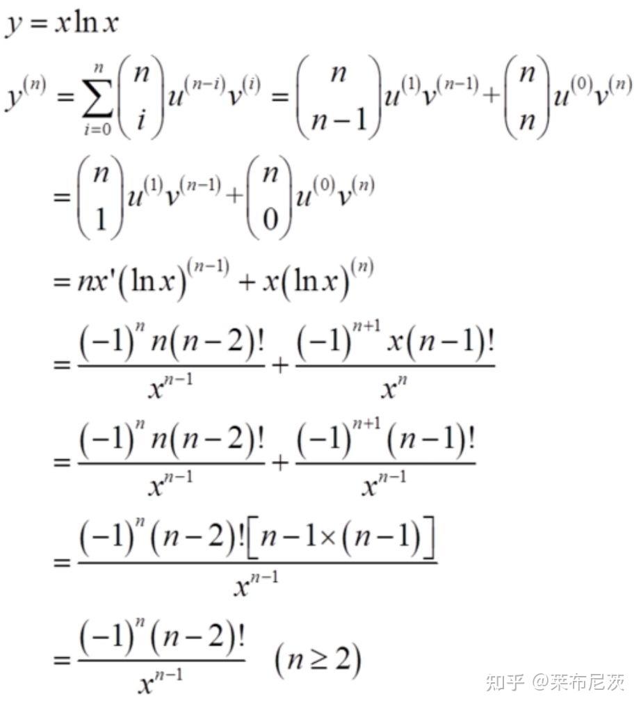
y= xlnx的n阶导数怎么求? - 知乎
图片尺寸922x1018
lnx|就是正无穷了吧!
图片尺寸603x555
高等数学用曲率的知识作出曲线y=x-lnx的图形
图片尺寸3328x1872
y=lnx的图像和性质
图片尺寸640x341
因为lnx是偶函数,关于y轴对称.
图片尺寸664x494
l上x>像x,图图结nxya像题x即=l在方a由合,=yn
图片尺寸395x241